Suppr超能文献

院前和紧急医疗照护环境中对指南和方案的遵循:系统回顾。

Adherence to guidelines and protocols in the prehospital and emergency care setting: a systematic review.

机构信息

Research group for Acute Care, Faculty of Health and Social Studies, HAN University of Applied Sciences, Verlengde Groenestraat 75, Nijmegen 6525 EJ, The Netherlands.

出版信息

Scand J Trauma Resusc Emerg Med. 2013 Feb 19;21:9. doi: 10.1186/1757-7241-21-9.

Abstract

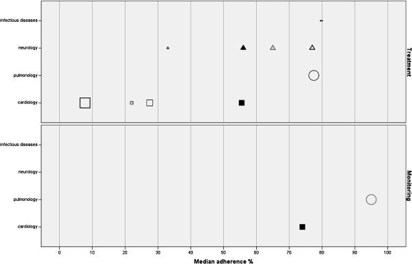
A gap between guidelines or protocols and clinical practice often exists, which may result in patients not receiving appropriate care. Therefore, the objectives of this systematic review were (1) to give an overview of professionals' adherence to (inter)national guidelines and protocols in the emergency medical dispatch, prehospital and emergency department (ED) settings, and (2) to explore which factors influencing adherence were described in studies reporting on adherence. PubMed (including MEDLINE), CINAHL, EMBASE and the Cochrane database for systematic reviews were systematically searched. Reference lists of included studies were also searched for eligible studies. Identified articles were screened on title, abstract and year of publication (≥1990) and were included when reporting on adherence in the eligible settings. Following the initial selection, articles were screened full text and included if they concerned adherence to a (inter)national guideline or protocol, and if the time interval between data collection and publication date was <10 years. Finally, articles were assessed on reporting quality. Each step was undertaken by two independent researchers. Thirty-five articles met the criteria, none of these addressed the emergency medical dispatch setting or protocols. Median adherence ranged from 7.8-95% in the prehospital setting, and from 0-98% in the ED setting. In the prehospital setting, recommendations on monitoring came with higher median adherence percentages than treatment recommendations. For both settings, cardiology treatment recommendations came with relatively low median adherence percentages. Eight studies identified patient and organisational factors influencing adherence. The results showed that professionals' adherence to (inter)national prehospital and emergency department guidelines shows a wide variation, while adherence in the emergency medical dispatch setting is not reported. As insight in influencing factors for adherence in the emergency care settings is minimal, future research should identify such factors to allow the development of strategies to improve adherence and thus improve quality of care.

摘要

指南或方案与临床实践之间存在差距,这可能导致患者未得到适当的护理。因此,本系统评价的目的是:(1) 概述专业人员在紧急医疗调度、院前和急诊部门 (ED) 环境中对 (国际) 指南和方案的遵守情况;(2) 探讨在报告遵守情况的研究中描述了哪些影响遵守的因素。系统检索了 PubMed(包括 MEDLINE)、CINAHL、EMBASE 和 Cochrane 系统评价数据库。还对纳入研究的参考文献进行了搜索,以查找符合条件的研究。根据标题、摘要和发表年份(≥1990 年)对确定的文章进行了筛选,并纳入了在合格环境中报告的符合条件的研究。在初步筛选后,对全文进行了筛选,并纳入了符合以下条件的文章:报告了在合格设置中对(国际)指南或方案的遵守情况,并且数据收集与出版日期之间的时间间隔<10 年。最后,对报告质量进行了评估。每个步骤均由两名独立研究人员进行。有 35 篇文章符合标准,但没有一篇涉及紧急医疗调度设置或方案。院前环境中的遵守中位数范围为 7.8-95%,ED 环境中的遵守中位数范围为 0-98%。在院前环境中,监测建议的遵守中位数百分比高于治疗建议。对于这两个环境,心脏病治疗建议的遵守中位数百分比相对较低。有 8 项研究确定了影响遵守的患者和组织因素。结果表明,专业人员对(国际)院前和急诊部门指南的遵守情况差异很大,而紧急医疗调度设置的遵守情况则没有报告。由于对急诊护理环境中影响遵守的因素了解甚少,因此未来的研究应确定这些因素,以便制定提高遵守率的策略,从而提高护理质量。

https://cdn.ncbi.nlm.nih.gov/pmc/blobs/6da6/3599067/2f712f7382a5/1757-7241-21-9-1.jpg

文献AI研究员

20分钟写一篇综述,助力文献阅读效率提升50倍。

立即体验

用中文搜PubMed

大模型驱动的PubMed中文搜索引擎

马上搜索

文档翻译

学术文献翻译模型,支持多种主流文档格式。

立即体验