Department of Biology, University of Florida, Gainesville, Florida, United States of America.
PLoS One. 2013;8(2):e56057. doi: 10.1371/journal.pone.0056057. Epub 2013 Feb 22.
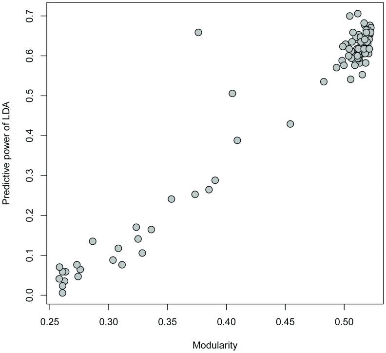
Social networks can be organized into communities of closely connected nodes, a property known as modularity. Because diseases, information, and behaviors spread faster within communities than between communities, understanding modularity has broad implications for public policy, epidemiology and the social sciences. Explanations for community formation in social networks often incorporate the attributes of individual people, such as gender, ethnicity or shared activities. High modularity is also a property of large-scale social networks, where each node represents a population of individuals at a location, such as call flow between mobile phone towers. However, whether or not place-based attributes, including land cover and economic activity, can predict community membership for network nodes in large-scale networks remains unknown. We describe the pattern of modularity in a mobile phone communication network in the Dominican Republic, and use a linear discriminant analysis (LDA) to determine whether geographic context can explain community membership. Our results demonstrate that place-based attributes, including sugar cane production, urbanization, distance to the nearest airport, and wealth, correctly predicted community membership for over 70% of mobile phone towers. We observed a strongly positive correlation (r = 0.97) between the modularity score and the predictive ability of the LDA, suggesting that place-based attributes can accurately represent the processes driving modularity. In the absence of social network data, the methods we present can be used to predict community membership over large scales using solely place-based attributes.
社交网络可以组织成紧密连接节点的社区,这一特性称为模块性。由于疾病、信息和行为在社区内传播速度比在社区间传播速度更快,因此了解模块性对公共政策、流行病学和社会科学具有广泛的影响。社交网络中社区形成的解释通常包含个体的属性,例如性别、种族或共同活动。高模块性也是大规模社交网络的一个属性,其中每个节点代表一个位于特定位置的个体群体,例如移动电话塔之间的呼叫流。然而,基于位置的属性(包括土地覆盖和经济活动)是否可以预测大规模网络中节点的社区成员身份仍然未知。我们描述了多米尼加共和国移动电话通信网络中的模块性模式,并使用线性判别分析(LDA)来确定地理环境是否可以解释社区成员身份。我们的结果表明,基于位置的属性(包括甘蔗生产、城市化、到最近机场的距离和财富)可以正确预测超过 70%的移动电话塔的社区成员身份。我们观察到模块性得分和 LDA 的预测能力之间存在强烈的正相关关系(r = 0.97),这表明基于位置的属性可以准确地代表驱动模块性的过程。在没有社交网络数据的情况下,我们提出的方法可以仅使用基于位置的属性在大范围内预测社区成员身份。