Suppr超能文献

利用羟丙基-β-环糊精作为分子载体增强人体组织微透析。

Enhanced human tissue microdialysis using hydroxypropyl-ß-cyclodextrin as molecular carrier.

机构信息

Institute of Clinical Pharmacology, Hannover Medical School, Hannover, Germany.

出版信息

PLoS One. 2013;8(4):e60628. doi: 10.1371/journal.pone.0060628. Epub 2013 Apr 5.

Abstract

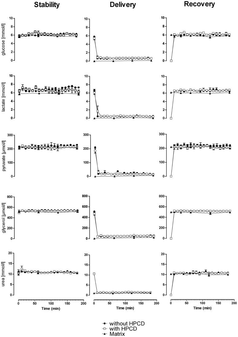
Microdialysis sampling of lipophilic molecules in human tissues is challenging because protein binding and adhesion to the membrane limit recovery. Hydroxypropyl-ß-cyclodextrin (HP-ß-CD) forms complexes with hydrophobic molecules thereby improving microdialysis recovery of lipophilic molecules in vitro and in rodents. We tested the approach in human subjects. First, we determined HP-ß-CD influences on metabolite stability, delivery, and recovery in vitro. Then, we evaluated HP-ß-CD as microdialysis perfusion fluid supplement in 20 healthy volunteers. We placed 20 kDa microdialysis catheters in subcutaneous abdominal adipose tissue and in the vastus lateralis muscle. We perfused catheters with lactate free Ringer solution with or without 10% HP-ß-CD at flow rates of 0.3-2.0 µl/min. We assessed tissue metabolites, ultrafiltration effects, and blood flow. In both tissues, metabolite concentrations with Ringer+HP-ß-CD perfusate were equal or higher compared to Ringer alone. Addition of HP-ß-CD increased dialysate volume by 10%. Adverse local or systemic reactions to HP-ß-CD did not occur and analytical methods were not disturbed. HP-ß-CD addition allowed to measure interstitial anandamide concentrations, a highly lipophilic endogenous molecule. Our findings suggest that HP-ß-CD is a suitable supplement in clinical microdialysis to enhance recovery of lipophilic molecules from human interstitial fluid.

摘要

在人体组织中对亲脂性分子进行微透析采样具有挑战性,因为蛋白结合和对膜的黏附会限制回收。羟丙基-β-环糊精(HP-β-CD)与疏水分子形成复合物,从而提高亲脂性分子在体外和啮齿动物中的微透析回收率。我们在人体受试者中检验了该方法。首先,我们确定 HP-β-CD 对代谢物稳定性、递送和体外回收的影响。然后,我们在 20 名健康志愿者中评估了 HP-β-CD 作为微透析灌注液补充剂的效果。我们将 20kDa 微透析导管置于腹部皮下脂肪组织和股外侧肌中。我们以 0.3-2.0µl/min 的流速用不含乳酸的林格溶液或含 10%HP-β-CD 的林格溶液对导管进行灌注。我们评估了组织代谢物、超滤效应和血流。在这两种组织中,含 Ringer+HP-β-CD 灌注液的代谢物浓度与仅含 Ringer 的灌注液相等或更高。添加 HP-β-CD 使透析液体积增加了 10%。未发生 HP-β-CD 的局部或全身不良反应,且分析方法不受干扰。HP-β-CD 的添加允许测量亲脂性内源性分子——间质大麻素的浓度。我们的研究结果表明,HP-β-CD 是临床微透析中增强亲脂性分子从人细胞间液中回收的合适补充剂。

https://cdn.ncbi.nlm.nih.gov/pmc/blobs/33e0/3618094/ba6ba5c84f88/pone.0060628.g001.jpg

文献AI研究员

20分钟写一篇综述,助力文献阅读效率提升50倍。

立即体验

用中文搜PubMed

大模型驱动的PubMed中文搜索引擎

马上搜索

文档翻译

学术文献翻译模型,支持多种主流文档格式。

立即体验