Suppr超能文献

MIBG 分子影像学评估恶性嗜铬细胞瘤患者化疗反应的初步结果。

MIBG molecular imaging for evaluating response to chemotherapy in patients with malignant pheochromocytoma: preliminary results.

机构信息

Department of Advanced Biomedical Sciences, University Federico II, Napoli, Italy.

出版信息

Cancer Imaging. 2013 Apr 15;13(2):155-61. doi: 10.1102/1470-7330.2013.0017.

Abstract

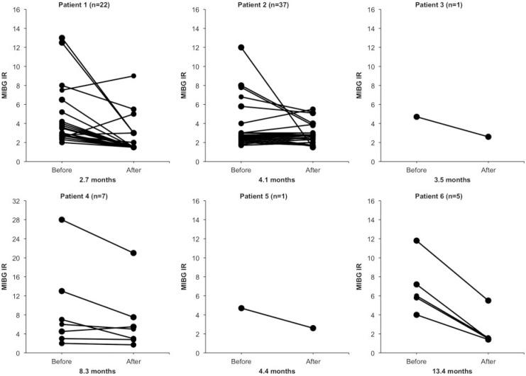
Malignant pheochromocytomas respond to chemotherapy with a reduction in tumor size and catecholamine secretion. We investigated the usefulness of molecular imaging with meta-iodobenzylguanidine (MIBG) for evaluating the effects of chemotherapy in patients with malignant pheochromocytoma. Six patients were studied before and after 6 ± 4 months of combination chemotherapy with cyclophosphamide, vincristine, and dacarbazine. Urinary catecholamines, metanephrines, and vanillylmandelic acid (VMA) levels were measured before and after chemotherapy. [(131)I]MIBG uptake was calculated for each tumor lesion on images before and after chemotherapy. An intensity ratio (IR) of abnormal to normal tissue count density was used to evaluate the change in lesion activity with therapy. Urinary catecholamines, metanephrines, and VMA significantly decreased with chemotherapy. MIBG uptake decreased in most lesions and the reduction in overall IR correlated with the reduction in urinary VMA. However, the change in individual lesions was variable and MIBG IR did not change or increased in a number of lesions. In conclusion, MIBG imaging is useful in the evaluation of patients with malignant pheochromocytoma who are receiving chemotherapy. It can provide not only a measure of overall effectiveness of treatment but also allows a lesion-by-lesion evaluation of the heterogeneity of response to chemotherapy.

摘要

恶性嗜铬细胞瘤对化疗有反应,肿瘤体积缩小,儿茶酚胺分泌减少。我们研究了间碘苄胍 (MIBG) 分子成像在评估恶性嗜铬细胞瘤患者化疗效果中的作用。对 6 例患者在接受环磷酰胺、长春新碱和达卡巴嗪联合化疗前和化疗后 6±4 个月进行了研究。在化疗前后测量了尿儿茶酚胺、代谢物和香草扁桃酸 (VMA) 水平。在化疗前后的图像上计算了每个肿瘤病变的 [(131)I]MIBG 摄取。使用异常组织计数密度与正常组织计数密度的强度比 (IR) 来评估治疗过程中病变活性的变化。尿儿茶酚胺、代谢物和 VMA 随化疗显著降低。大多数病变的 MIBG 摄取减少,总体 IR 的减少与尿 VMA 的减少相关。然而,个别病变的变化是可变的,一些病变的 MIBG IR 没有改变或增加。总之,MIBG 成像在评估接受化疗的恶性嗜铬细胞瘤患者中是有用的。它不仅可以提供治疗总体效果的衡量标准,还可以对化疗反应的异质性进行逐个病变的评估。

https://cdn.ncbi.nlm.nih.gov/pmc/blobs/58b6/3629891/aec6b7d50f8b/ci13001701.jpg

文献检索

告别复杂PubMed语法,用中文像聊天一样搜索,搜遍4000万医学文献。AI智能推荐,让科研检索更轻松。

立即免费搜索

文件翻译

保留排版,准确专业,支持PDF/Word/PPT等文件格式,支持 12+语言互译。

免费翻译文档

深度研究

AI帮你快速写综述,25分钟生成高质量综述,智能提取关键信息,辅助科研写作。

立即免费体验