Suppr超能文献

合成及一些新的噻吩[2,3-b]噻吩衍生物的抗菌活性。

Synthesis and antimicrobial activity of some new thieno[2,3-b]thiophene derivatives.

机构信息

Department of Chemistry, Faculty of Science, King Saud University, P.O. Box 2455, Riyadh 11451, Saudi Arabia.

出版信息

Molecules. 2013 Apr 19;18(4):4669-78. doi: 10.3390/molecules18044669.

Abstract

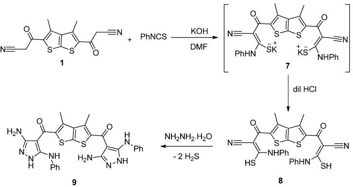
A series of thieno[2,3-b]thiophene moiety-containing bis-cyanopyrazoles 5a-c, bis-aminopyrazole 9 and bis-pyridazine derivatives 11 were synthesized and evaluated in vitro for their antimicrobial potential. The antimicrobial activity of some selected products was evaluated and showed good results. 5,5'-(3,4-Dimethylthieno[2,3-b]thiophene-2,5-diyl)bis(3-acetyl-1-(4-chlorophenyl)-1H-pyrazole-4-carbonitrile) (5d) was found to be more potent than the standard drug amphotericin B against Geotricum candidum and equipotent to amphotericin B against Syncephalastrum racemosum. In addition, it was found to be equipotent to the standard drug Penicillin G against Staphylococcus aureus. Moreover, it was more potent than the standard drug streptomycin against Pseudomonas aeruginosa and Escherichia coli.

摘要

一系列含有噻吩并[2,3-b]噻吩部分的双氰基吡唑 5a-c、双氨基吡唑 9 和双哒嗪衍生物 11 被合成并在体外评估其抗菌潜力。一些选定产物的抗菌活性进行了评估,结果良好。5,5'-(3,4-二甲基噻吩并[2,3-b]噻吩-2,5-二基)双(3-乙酰基-1-(4-氯苯基)-1H-吡唑-4-甲腈)(5d)对申克氏孢子丝菌的活性比标准药物两性霉素 B 更强,与两性霉素 B 对 Syncephalastrum racemosum 的活性相当。此外,它对金黄色葡萄球菌的活性与标准药物青霉素 G 相当。此外,它对铜绿假单胞菌和大肠杆菌的活性比标准药物链霉素更强。

https://cdn.ncbi.nlm.nih.gov/pmc/blobs/a3c8/6270460/20308b0d06cb/molecules-18-04669-g003.jpg

相似文献

1
Synthesis and antimicrobial activity of some new thieno[2,3-b]thiophene derivatives.
Molecules. 2013 Apr 19;18(4):4669-78. doi: 10.3390/molecules18044669.
3
Synthesis and antimicrobial activity of some new thiazole, thiophene and pyrazole derivatives containing benzothiazole moiety.
Eur J Med Chem. 2010 Sep;45(9):3692-701. doi: 10.1016/j.ejmech.2010.05.018. Epub 2010 May 15.
4
Antimicrobial Activity of New 2-Thioxo-benzo[g]quinazolin-4(3H)-one Derivatives.
Med Chem. 2016;13(1):85-92. doi: 10.2174/1573406412666160610095706.
5
In vitro evaluation of new 2-phenoxy-benzo[g][1,2,4]triazolo[1,5-a]quinazoline derivatives as antimicrobial agents.
Microb Pathog. 2018 Apr;117:60-67. doi: 10.1016/j.micpath.2018.02.018. Epub 2018 Feb 9.
7
Thiophene and benzodioxole appended thiazolyl-pyrazoline compounds: Microwave assisted synthesis, antimicrobial and molecular docking studies.
Bioorg Med Chem Lett. 2015 Jul 15;25(14):2753-7. doi: 10.1016/j.bmcl.2015.05.033. Epub 2015 May 22.
8
Simple approach to thieno[3,2-d]pyrimidines as new scaffolds of antimicrobial activities.
Acta Pharm. 2016 Sep 1;66(3):331-51. doi: 10.1515/acph-2016-0029.
10
Synthesis of 1-(4-methoxybenzyl)-3-cyclopropyl-1H-pyrazol-5-amine derivatives as antimicrobial agents.
J Enzyme Inhib Med Chem. 2010 Aug;25(4):537-43. doi: 10.3109/14756360903357601.

引用本文的文献

本文引用的文献

1
Facile and convenient synthesis of new thieno[2,3-b]-thiophene derivatives.
Molecules. 2010 Dec 20;15(12):9418-26. doi: 10.3390/molecules15129418.
2
Synthesis and analysis of some bis-heterocyclic compounds containing sulphur.
Molecules. 2009 May 22;14(5):1904-14. doi: 10.3390/molecules14051904.
3
Stable polythiophene semiconductors incorporating thieno[2,3-b]thiophene.
J Am Chem Soc. 2005 Feb 2;127(4):1078-9. doi: 10.1021/ja043112p.
6
Thienopyrimidine derivatives prevent cartilage destruction in articular disease.
Farmaco. 2001 Dec;56(12):959-64. doi: 10.1016/s0014-827x(01)01149-1.
7
Synthesis and antinociceptive activity of 6-substituted-3-pyridazinone derivatives.
Farmaco. 2001 Mar;56(3):233-7. doi: 10.1016/s0014-827x(01)01037-0.

文献AI研究员

20分钟写一篇综述,助力文献阅读效率提升50倍。

立即体验

用中文搜PubMed

大模型驱动的PubMed中文搜索引擎

马上搜索

文档翻译

学术文献翻译模型,支持多种主流文档格式。

立即体验