Suppr超能文献

杂环合成中的有机催化:1,4-二氮杂二环[2.2.2]辛烷作为一种温和且高效的催化体系用于合成一类新型喹唑啉、噻唑并[3,2-a]喹唑啉和噻唑并[2,3-b]喹唑啉衍生物。

Organocatalysis in heterocyclic synthesis: DABCO as a mild and efficient catalytic system for the synthesis of a novel class of quinazoline, thiazolo [3,2-a]quinazoline and thiazolo[2,3-b] quinazoline derivatives.

作者信息

Behbehani Haider, Ibrahim Hamada Mohamed

机构信息

Chemistry Department, Faculty of Science, Kuwait University, P,O, Box 5969, Safat 13060, Kuwait.

出版信息

Chem Cent J. 2013 May 7;7(1):82. doi: 10.1186/1752-153X-7-82.

Abstract

BACKGROUND

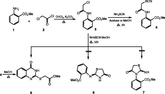
There are only limited publications devoted to the synthesis of especially thiazolo[3,2-a]quinazoline which involved reaction of 2-mercaptopropargyl quinazolin-4-one with various aryl iodides catalyzed by Pd-Cu or by condensation of 2-mercapto-4-oxoquinazoline with chloroacetic acid, inspite of this procedure was also reported in the literature to afford the thiazolo [2,3-b] quinazoline. So the multistep synthesis of the thiazolo[3,2-a]- quinazoline suffered from some flaws and in this study we have synthesized a novel class of thiazoloquinazolines by a simple and convenient method involving catalysis by 1,4-diazabicyclo[2.2.2]octane (DABCO).

RESULTS

A new and convenient one-pot synthesis of a novel class of 2-arylidene-2H-thiazolo[3,2-a]quinazoline-1,5-diones 9a-i was established through the reaction between methyl-2-(2-thio-cyanatoacetamido)benzoate (4) and a variety of arylidene malononitriles 8a-i in the presence of DABCO as a mild and efficient catalytic system via a Michael type addition reaction and a mechanism for formation of the products observed is proposed. Moreover 4 was converted to ethyl-2-[(4-oxo-3,4-dihydroquinazolin-2-yl)thio]acetate (10) upon reflux in ethanol containing DABCO as catalyst. The latter was reacted with aromatic aldehydes and dimethylformamide dimethylacetal (DMF-DMA) to afford a mixture of two regioselectively products with identical percentage yield, these two products were identified as thiazolo[3,2-a]quinazoline 9,13 and thiazolo[2,3-b]quinazoline 11,12 derivatives respectively. The structure of the compounds prepared in this study was elucidated by different spectroscopic tools of analyses also the X-ray single crystal technique was employed in this study for structure elucidation, Z/E potential isomerism configuration determination and to determine the regioselectivity of the reactions.

CONCLUSION

A simple and efficient one-pot synthesis of a novel class of 2-arylidene-2H-thiazolo[3,2-a]quinazoline-1,5-diones 9a-i was established through DABCO catalyzed Michael type addition reaction. In addition many fused quinazoline and quinazoline derivatives were synthesized which appeared as valuable precursors in synthetic and medicinal chemistry.

摘要

背景

专门论述噻唑并[3,2 - a]喹唑啉合成的文献有限,其合成方法包括2 - 巯基炔丙基喹唑啉 - 4 - 酮与各种芳基碘化物在钯 - 铜催化下的反应,或者2 - 巯基 - 4 - 氧代喹唑啉与氯乙酸的缩合反应,尽管文献中也报道了该方法可得到噻唑并[2,3 - b]喹唑啉。因此,噻唑并[3,2 - a]喹唑啉的多步合成存在一些缺陷,在本研究中,我们通过一种简单便捷的方法合成了一类新型噻唑并喹唑啉,该方法涉及1,4 - 二氮杂双环[2.2.2]辛烷(DABCO)催化。

结果

通过2 -(2 - 硫氰基乙酰氨基)苯甲酸甲酯(4)与各种亚芳基丙二腈8a - i 在温和且高效的催化体系DABCO存在下发生迈克尔型加成反应,建立了一种新的便捷一锅法合成一类新型2 - 亚芳基 - 2H - 噻唑并[3,2 - a]喹唑啉 - 1,5 - 二酮9a - i 的方法,并提出了观察到的产物形成机理。此外,在含有DABCO作为催化剂的乙醇中回流时,4 转化为2 - [(4 - 氧代 - 3,4 - 二氢喹唑啉 - 2 - 基)硫代]乙酸乙酯(10)。后者与芳香醛和二甲基甲酰胺二甲基缩醛(DMF - DMA)反应,得到两种区域选择性产物含量相同的混合物,这两种产物分别被鉴定为噻唑并[3,2 - a]喹唑啉9,13 和噻唑并[2,3 - b]喹唑啉11,12 衍生物。本研究中制备的化合物结构通过不同的光谱分析工具进行了阐明,还采用了X射线单晶技术进行结构阐明、Z/E 顺反异构构型测定以及确定反应的区域选择性。

结论

通过DABCO催化的迈克尔型加成反应,建立了一种简单高效的一锅法合成一类新型2 - 亚芳基 - 2H - 噻唑并[3,2 - a]喹唑啉 - 1,5 - 二酮9a - i 的方法。此外,还合成了许多稠合喹唑啉和喹唑啉衍生物,它们在合成化学和药物化学中表现为有价值的前体。

https://cdn.ncbi.nlm.nih.gov/pmc/blobs/4257/3681655/a32ff084c7de/1752-153X-7-82-i1.jpg

文献AI研究员

20分钟写一篇综述,助力文献阅读效率提升50倍。

立即体验

用中文搜PubMed

大模型驱动的PubMed中文搜索引擎

马上搜索

文档翻译

学术文献翻译模型,支持多种主流文档格式。

立即体验