Suppr超能文献

静脉滴注尼可地尔预处理对肾功能障碍患者冠状动脉造影检查后对比剂肾病的预防作用(PRINCIPLE 研究)。

Preventive effect of pretreatment with intravenous nicorandil on contrast-induced nephropathy in patients with renal dysfunction undergoing coronary angiography (PRINCIPLE Study).

机构信息

Division of Cardiology, Severance Cardiovascular Hospital and Yonsei University College of Medicine, 211 Eonju-ro, Gangnam-gu, Seoul 135-720, Korea.

出版信息

Yonsei Med J. 2013 Jul;54(4):957-64. doi: 10.3349/ymj.2013.54.4.957.

Abstract

PURPOSE

To investigate the effect of pretreatment with intravenous nicorandil on the incidence of contrast-induced nephropathy (CIN) in patients with renal dysfunction undergoing coronary angiography.

MATERIALS AND METHODS

This randomized controlled multicenter study enrolled a total of 166 patients (nicorandil n=81; control n=85) with an estimated glomerular filtration rate <60 mL/min. Nicorandil 12 mg dissolved in 100 mL of 0.9% saline was administered intravenously for 30 minutes just prior to coronary angiography in the nicorandil group. The same volume of only saline was given to the control group. The primary endpoint was the incidence of CIN, defined as >0.5 mg/dL increase or >25% rise in serum creatinine (SCr) concentration within 48 hours of contrast exposure compared to baseline.

RESULTS

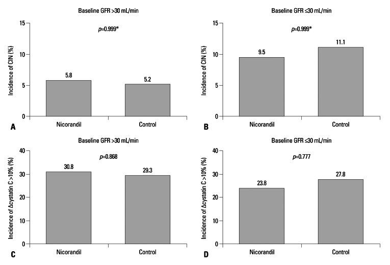
The final analysis included 149 patients (nicorandil n=73; control n=76). The baseline characteristics and the total volume of the used contrast (Iodixanol, 125.6±69.1 mL vs. 126.9±74.6 mL, p=0.916) were similar between the two groups. The incidence of CIN also did not differ between the nicorandil and control groups (6.8% vs. 6.6%, p=0.794). There was no difference between the two groups in the relative change in SCr from baseline to peak level within 48 hours after coronary angiography (-1.58±24.07% vs. 0.96±17.49%, p=0.464), although the nicorandil group showed less absolute change in SCr than the control group (-0.01±0.43 mg/mL vs. 0.02±0.31 mg/mL, p=0.005).

CONCLUSION

Prophylactic intravenous infusion of nicorandil did not decrease the incidence of CIN in patients with renal dysfunction undergoing coronary angiography.

摘要

目的

研究肾功能不全患者行冠状动脉造影前静脉应用尼可地尔对造影剂肾病(CIN)发生率的影响。

材料与方法

本随机对照多中心研究共纳入 166 例估计肾小球滤过率(eGFR)<60 mL/min 的患者(尼可地尔组 81 例,对照组 85 例)。尼可地尔组在冠状动脉造影前 30 分钟静脉滴注 12 mg 尼可地尔溶于 100 mL 生理盐水,对照组给予等容量生理盐水。主要终点为 CIN 的发生率,定义为与基线相比,造影后 48 小时内血清肌酐(SCr)浓度升高>0.5 mg/dL 或升高>25%。

结果

最终分析纳入 149 例患者(尼可地尔组 73 例,对照组 76 例)。两组患者的基线特征和使用造影剂(碘克沙醇,125.6±69.1 mL 比 126.9±74.6 mL,p=0.916)的总量相似。尼可地尔组和对照组的 CIN 发生率也无差异(6.8%比 6.6%,p=0.794)。冠状动脉造影后 48 小时内,两组患者的 SCr 从基线到峰值水平的相对变化(-1.58±24.07%比 0.96±17.49%,p=0.464)无差异,尽管尼可地尔组的 SCr 绝对值变化小于对照组(-0.01±0.43 mg/mL 比 0.02±0.31 mg/mL,p=0.005)。

结论

肾功能不全患者行冠状动脉造影前预防性静脉输注尼可地尔不能降低 CIN 的发生率。

https://cdn.ncbi.nlm.nih.gov/pmc/blobs/d5dc/3663233/7aa42b1c8aed/ymj-54-957-g001.jpg

文献AI研究员

20分钟写一篇综述,助力文献阅读效率提升50倍。

立即体验

用中文搜PubMed

大模型驱动的PubMed中文搜索引擎

马上搜索

文档翻译

学术文献翻译模型,支持多种主流文档格式。

立即体验