Suppr超能文献

亚热带雨林中两种附生植物通过缓解干旱实现生态共生。

Ecological facilitation between two epiphytes through drought mitigation in a subtropical rainforest.

机构信息

Department of Life Science, National Taiwan Normal University, Taipei, Taiwan.

出版信息

PLoS One. 2013 May 31;8(5):e64599. doi: 10.1371/journal.pone.0064599. Print 2013.

Abstract

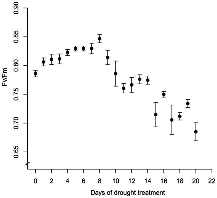
Positive species interactions (facilitation) play an important role in shaping the structures and species diversity of ecological communities, particularly under stressful environmental conditions. Epiphytes in rainforests often grow in multiple-species clumps, suggesting interspecies facilitation. However, little is known about the patterns and mechanisms of epiphyte co-occurrence. We assessed the interactions of two widespread epiphyte species, Asplenium antiquum and Haplopteris zosterifolia, by examining their co-occurrence and size-class association in the field. To elucidate factors controlling their interactions, we conducted reciprocal-removal and greenhouse-drought experiments, and nutrient and isotope analyses. Forty-five percent of H. zosterifolia co-occurred with A. antiquum, whereas only 17% of A. antiquum co-occurred with H. zosterifolia. Removing the fronds plus substrate of A. antiquum reduced the relative frond length and specific leaf area of H. zosterifolia, but removing fronds only had little effect. Removing H. zosterifolia had no significant effects on the growth of A. antiquum. H. zosterifolia co-occurring and not co-occurring with A. antiquum had similar foliar nutrient concentrations and δ(15)N values, suggesting that A. antiquum does not affect the nutrient status of H. zosterifolia. Reduced growth of H. zosterifolia with the removal of A. antiquum substrate, together with higher foliar δ(13)C for H. zosterifolia growing alone than those co-occurring with A. antiquum, suggest that A. antiquum enhances water availability to H. zosterifolia. This enhancement probably resulted from water storage in the substrate of A. antiquum, which could hold water up to 6.2 times its dry weight, and from reduced evapotranspiration due to shading of A. antiquum fronds. Greater water loss occurred in the frond-clipped group than the unclipped group between days 3-13 of the drought treatment. Our results imply that drought mitigation by substrate-forming epiphytes is important for maintaining epiphyte diversity in tropic and subtropic regions with episodic water limitations, especially in the context of anthropogenic climate change.

摘要

阳性种间相互作用(促进)在塑造生态群落的结构和物种多样性方面起着重要作用,特别是在压力环境条件下。热带雨林中的附生植物通常以多物种丛集的形式生长,表明存在种间促进作用。然而,对于附生植物共存的模式和机制知之甚少。我们通过野外调查两种广泛分布的附生植物,Asplenium antiquum 和 Haplopteris zosterifolia 的共存和大小类群的关联,评估了它们的相互作用。为了阐明控制它们相互作用的因素,我们进行了互惠去除和温室干旱实验,以及养分和同位素分析。45%的 H. zosterifolia 与 A. antiquum 共存,而只有 17%的 A. antiquum 与 H. zosterifolia 共存。去除 A. antiquum 的叶片和基质减少了 H. zosterifolia 的相对叶片长度和比叶面积,但只去除叶片几乎没有影响。去除 H. zosterifolia 对 A. antiquum 的生长没有显著影响。与 A. antiquum 共存和不共存的 H. zosterifolia 具有相似的叶片养分浓度和 δ(15)N 值,表明 A. antiquum 不会影响 H. zosterifolia 的养分状况。由于去除 A. antiquum 基质而导致 H. zosterifolia 生长减少,以及单独生长的 H. zosterifolia 的叶片 δ(13)C 高于与 A. antiquum 共存的叶片 δ(13)C,表明 A. antiquum 增加了 H. zosterifolia 的水分可用性。这种增强可能是由于 A. antiquum 基质中的水分储存,其可以储存高达其干重 6.2 倍的水分,以及由于 A. antiquum 叶片的遮荫减少了蒸散作用。在干旱处理的第 3-13 天,叶片修剪组的水分损失大于未修剪组。我们的结果表明,在具有间歇性水分限制的热带和亚热带地区,基质形成附生植物对干旱的缓解对于维持附生植物多样性非常重要,特别是在人为气候变化的背景下。

https://cdn.ncbi.nlm.nih.gov/pmc/blobs/42f7/3669308/28d29560712c/pone.0064599.g001.jpg

文献AI研究员

20分钟写一篇综述,助力文献阅读效率提升50倍。

立即体验

用中文搜PubMed

大模型驱动的PubMed中文搜索引擎

马上搜索

文档翻译

学术文献翻译模型,支持多种主流文档格式。

立即体验