Suppr超能文献

用于解释 ZnO 基光电探测器器件中观察到的光电流瞬态弛豫现象的现象学模型。

A phenomenological model for the photocurrent transient relaxation observed in ZnO-based photodetector devices.

机构信息

Department of Chemistry and Physics, Coastal Carolina University, Conway, SC 29528, USA.

出版信息

Sensors (Basel). 2013 Aug 5;13(8):9921-40. doi: 10.3390/s130809921.

Abstract

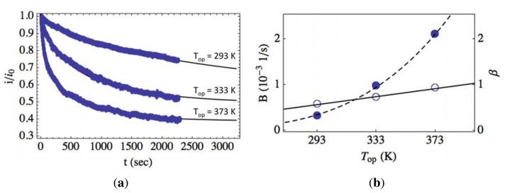
We present a phenomenological model for the photocurrent transient relaxation observed in ZnO-based metal-semiconductor-metal (MSM) planar photodetector devices based on time-resolved surface band bending. Surface band bending decreases during illumination, due to migration of photogenerated holes to the surface. Immediately after turning off illumination, conduction-band electrons must overcome a relatively low energy barrier to recombine with photogenerated holes at the surface; however, with increasing time, the adsorption of oxygen at the surface or electron trapping in the depletion region increases band bending, resulting in an increased bulk/surface energy barrier that slows the transport of photogenerated electrons. We present a complex rate equation based on thermionic transition of charge carriers to and from the surface and numerically fit this model to transient photocurrent measurements of several MSM planar ZnO photodetectors at variable temperature. Fitting parameters are found to be consistent with measured values in the literature. An understanding of the mechanism for persistent photoconductivity could lead to mitigation in future device applications.

摘要

我们提出了一个基于时间分辨表面能带弯曲的基于 ZnO 的金属半导体金属(MSM)平面光电探测器器件中观察到的光电流瞬态弛豫的现象模型。由于光生空穴向表面的迁移,表面能带弯曲在光照期间减小。在关闭照明后立即,导带电子必须克服相对较低的能量势垒才能与表面处的光生空穴复合; 然而,随着时间的增加,表面的氧吸附或耗尽区中的电子俘获增加了能带弯曲,导致增加的体/表面能垒,从而减缓了光生电子的输运。我们提出了一个基于电荷载流子从表面到表面和到表面的热离子跃迁的复杂速率方程,并将该模型数值拟合到几个 MSM 平面 ZnO 光电探测器在不同温度下的瞬态光电流测量。拟合参数与文献中测量的值一致。对持久光导机制的理解可能会导致未来器件应用中的缓解。

https://cdn.ncbi.nlm.nih.gov/pmc/blobs/ea0e/3812587/e62c1e2668be/sensors-13-09921f1.jpg

文献AI研究员

20分钟写一篇综述,助力文献阅读效率提升50倍。

立即体验

用中文搜PubMed

大模型驱动的PubMed中文搜索引擎

马上搜索

文档翻译

学术文献翻译模型,支持多种主流文档格式。

立即体验