Suppr超能文献

人脐带血单个核细胞在新生鼠支气管肺发育不良双重打击模型中的作用。

Human umbilical cord blood mononuclear cells in a double-hit model of bronchopulmonary dysplasia in neonatal mice.

机构信息

Department of Pediatrics and Neonatology, Saarland University, Homburg, Saar, Germany.

出版信息

PLoS One. 2013 Sep 19;8(9):e74740. doi: 10.1371/journal.pone.0074740. eCollection 2013.

Abstract

BACKGROUND

Bronchopulmonary dysplasia (BPD) presents a major threat of very preterm birth and treatment options are still limited. Stem cells from different sources have been used successfully in experimental BPD, induced by postnatal hyperoxia.

OBJECTIVES

We investigated the effect of umbilical cord blood mononuclear cells (MNCs) in a new double-hit mouse model of BPD.

METHODS

For the double-hit, date mated mice were subjected to hypoxia and thereafter the offspring was exposed to hyperoxia. Human umbilical cord blood MNCs were given intraperitoneally by day P7. As outcome variables were defined: physical development (auxology), lung structure (histomorphometry), expression of markers for lung maturation and inflammation on mRNA and protein level. Pre- and postnatal normoxic pups and sham treated double-hit pups served as control groups.

RESULTS

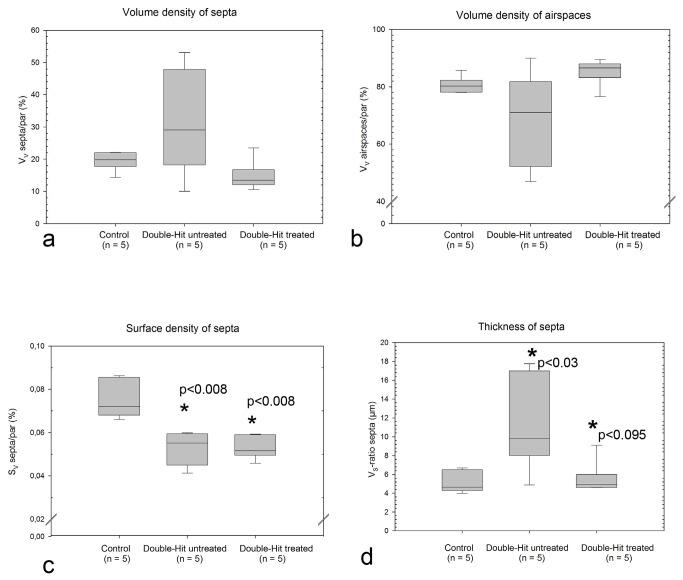
Compared to normoxic controls, sham treated double-hit animals showed impaired physical and lung development with reduced alveolarization and increased thickness of septa. Electron microscopy revealed reduced volume density of lamellar bodies. Pulmonary expression of mRNA for surfactant proteins B and C, Mtor and Crabp1 was reduced. Expression of Igf1 was increased. Treatment with umbilical cord blood MNCs normalized thickness of septa and mRNA expression of Mtor to levels of normoxic controls. Tgfb3 mRNA expression and pro-inflammatory IL-1β protein concentration were decreased.

CONCLUSION

The results of our study demonstrate the therapeutic potential of umbilical cord blood MNCs in a new double-hit model of BPD in newborn mice. We found improved lung structure and effects on molecular level. Further studies are needed to address the role of systemic administration of MNCs in experimental BPD.

摘要

背景

支气管肺发育不良(BPD)是极早产儿面临的主要威胁,治疗选择仍然有限。不同来源的干细胞已成功应用于实验性 BPD 中,由产后高氧诱导。

目的

我们研究了脐带血单个核细胞(MNC)在一种新的 BPD 双打击小鼠模型中的作用。

方法

对于双打击,交配后的母鼠经历缺氧,然后其子代暴露于高氧中。人脐带血 MNC 在 P7 日经腹腔内给予。将以下变量定义为结局变量:体格发育(人体测量学)、肺结构(组织形态计量学)、肺成熟和炎症标志物的 mRNA 和蛋白水平表达。出生前和出生后常氧幼鼠以及假处理的双打击幼鼠作为对照组。

结果

与常氧对照组相比,假处理的双打击动物表现出体格和肺发育受损,肺泡化减少,间隔增厚。电子显微镜显示板层小体的体积密度降低。肺表面活性蛋白 B 和 C、Mtor 和 Crabp1 的 mRNA 表达减少。Igf1 的表达增加。脐带血 MNC 治疗使间隔厚度和 Mtor 的 mRNA 表达正常化至常氧对照组的水平。Tgfb3 mRNA 表达和促炎 IL-1β 蛋白浓度降低。

结论

我们的研究结果表明,脐带血 MNC 在新生小鼠的新型 BPD 双打击模型中具有治疗潜力。我们发现改善了肺结构和分子水平的作用。需要进一步的研究来解决 MNC 全身给药在实验性 BPD 中的作用。

https://cdn.ncbi.nlm.nih.gov/pmc/blobs/9729/3778007/45548ce4d82c/pone.0074740.g001.jpg

文献AI研究员

20分钟写一篇综述,助力文献阅读效率提升50倍。

立即体验

用中文搜PubMed

大模型驱动的PubMed中文搜索引擎

马上搜索

文档翻译

学术文献翻译模型,支持多种主流文档格式。

立即体验