Department of Gastroenterology and Hepatology, Musashino Red Cross Hospital, Tokyo, Japan.
Cancer. 2014 Jan 15;120(2):229-37. doi: 10.1002/cncr.28384. Epub 2013 Oct 7.
A new predictive biomarker for determining prognosis in patients with hepatocellular carcinoma (HCC) who receive sorafenib is required, because achieving a reduction in tumor size with sorafenib is rare, even in patients who have a favorable prognosis. Vascular endothelial growth factor (VEGF) receptor is a sorafenib target. In the current study, the authors examined changes in plasma VEGF concentrations during sorafenib treatment and determined the clinical significance of VEGF as a prognostic indicator in patients with HCC.
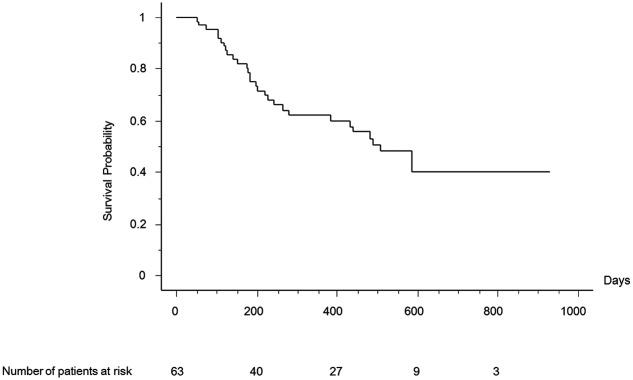
Plasma VEGF concentrations were serially measured in 63 patients with advanced HCC before and during sorafenib treatment. A plasma VEGF concentration that decreased >5% from the pretreatment level at 8 weeks was defined as a "VEGF decrease." An objective tumor response was determined using modified Response Evaluation Criteria in Solid Tumors 1 month after the initiation of therapy and every 3 months thereafter.
Patients who had a VEGF decrease at week 8 (n=14) had a longer median survival than those who did not have a VEGF decrease (n=49; 30.9 months vs 14.4 months; P=.038). All patients who had a VEGF decrease survived for >6 months, and the patients who had both a VEGF decrease and an α-fetoprotein response (n=6) survived during the observation period (median, 19.7 months; range, 6.5-31.0 months). In univariate analyses, a VEGF decrease, radiologic findings classified as progressive disease, and major vascular invasion were associated significantly with 1-year survival; and, in multivariate analysis, a VEGF decrease was identified as an independent factor associated significantly with survival.
A plasma VEGF concentration decrease at 8 weeks after starting sorafenib treatment may predict favorable overall survival in patients with advanced HCC.
索拉非尼治疗肝细胞癌(HCC)患者,其疗效甚微,即使是预后良好的患者也很少能达到肿瘤缩小的效果,因此需要寻找新的预测生物标志物来判断此类患者的预后。血管内皮生长因子(VEGF)受体是索拉非尼的作用靶点。在本研究中,作者检测了 HCC 患者接受索拉非尼治疗期间血浆 VEGF 浓度的变化,并确定 VEGF 作为 HCC 患者预后指标的临床意义。
对 63 例晚期 HCC 患者在索拉非尼治疗前和治疗过程中连续检测血浆 VEGF 浓度。以治疗 8 周时 VEGF 浓度较基线下降>5%定义为“VEGF 下降”。采用实体瘤疗效评价标准 1.0 版(RECIST1.0)在治疗开始后 1 个月和此后每 3 个月评价肿瘤客观缓解情况。
治疗 8 周时 VEGF 下降的患者(n=14)中位生存时间长于未下降的患者(n=49)(30.9 个月比 14.4 个月;P=0.038)。所有 VEGF 下降的患者生存时间均超过 6 个月,且 VEGF 下降并伴有甲胎蛋白(AFP)应答的患者(n=6)在观察期间均存活(中位生存时间 19.7 个月,范围 6.5~31.0 个月)。单因素分析显示,VEGF 下降、影像学表现为疾病进展和大血管侵犯与 1 年生存率显著相关;多因素分析显示,VEGF 下降是影响患者生存的独立因素。
索拉非尼治疗 8 周时血浆 VEGF 浓度下降可能预测晚期 HCC 患者的总生存获益。