Suppr超能文献

肠产毒性大肠埃希菌不耐热和耐热肠毒素融合蛋白 3xSTa(A14Q)-LT(S63K/R192G/L211A)在小鼠模型中的毒性和免疫原性。

Toxicity and immunogenicity of Enterotoxigenic Escherichia coli heat-labile and heat-stable toxoid fusion 3xSTa(A14Q)-LT(S63K/R192G/L211A) in a murine model.

机构信息

Veterinary & Biomedical Sciences Department /The Center for Infectious Disease Research & Vaccinology, South Dakota State University, Brookings, South Dakota, United States of America.

出版信息

PLoS One. 2013 Oct 11;8(10):e77386. doi: 10.1371/journal.pone.0077386. eCollection 2013.

Abstract

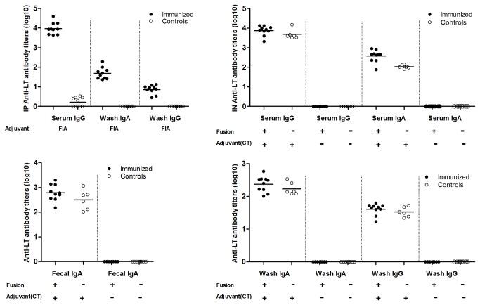
Diarrhea is the second leading cause of death to young children. Enterotoxigenic Escherichia coli (ETEC) are the most common bacteria causing diarrhea. Adhesins and enterotoxins are the virulence determinants in ETEC diarrhea. Adhesins mediate bacterial attachment and colonization, and enterotoxins including heat-labile (LT) and heat-stable type Ib toxin (STa) disrupt fluid homeostasis in host cells that leads to fluid hyper-secretion and diarrhea. Thus, adhesins and enterotoxins have been primarily targeted in ETEC vaccine development. A recent study reported toxoid fusions with STa toxoid (STa(P13F)) fused at the N- or C-terminus, or inside the A subunit of LT(R192G) elicited neutralizing antitoxin antibodies, and suggested application of toxoid fusions in ETEC vaccine development (Liu et al., Infect. Immun. 79:4002-4009, 2011). In this study, we generated a different STa toxoid (STa(A14Q)) and a triple-mutant LT toxoid (LT(S63K/R192G/L211A), tmLT), constructed a toxoid fusion (3xSTa(A14Q)-tmLT) that carried 3 copies of STa(A14Q) for further facilitation of anti-STa immunogenicity, and assessed antigen safety and immunogenicity in a murine model to explore its potential for ETEC vaccine development. Mice immunized with this fusion antigen showed no adverse effects, and developed antitoxin antibodies particularly through the IP route. Anti-LT antibodies were detected and were shown neutralizing against CT in vitro. Anti-STa antibodies were also detected in the immunized mice, and serum from the IP immunized mice neutralized STa toxin in vitro. Data from this study indicated that toxoid fusion 3xSTa(A14Q)-tmLT is safe and can induce neutralizing antitoxin antibodies, and provided helpful information for vaccine development against ETEC diarrhea.

摘要

腹泻是导致幼儿死亡的第二大原因。肠产毒性大肠杆菌(ETEC)是引起腹泻的最常见细菌。黏附素和肠毒素是 ETEC 腹泻的毒力决定因素。黏附素介导细菌附着和定植,而包括不耐热肠毒素(LT)和热稳定型肠毒素 Ib 型(STa)在内的肠毒素会破坏宿主细胞的液体动态平衡,导致液体过度分泌和腹泻。因此,黏附素和肠毒素一直是 ETEC 疫苗开发的主要目标。最近的一项研究报告称,将 STa 类毒素(STa(P13F))与 N 端或 C 端或 LT(R192G)A 亚单位内部融合的类毒素融合物可引发中和抗毒素抗体,并提出将类毒素融合物应用于 ETEC 疫苗开发(Liu 等人,感染。免疫。79:4002-4009,2011)。在这项研究中,我们生成了一种不同的 STa 类毒素(STa(A14Q))和一种三突变 LT 类毒素(LT(S63K/R192G/L211A), tmLT),构建了一种携带 3 个拷贝 STa(A14Q)的类毒素融合物(3xSTa(A14Q)-tmLT),以进一步促进抗 STa 免疫原性,并在小鼠模型中评估其抗原安全性和免疫原性,以探索其在 ETEC 疫苗开发中的潜力。用这种融合抗原免疫的小鼠没有不良反应,并通过 IP 途径产生了抗毒素抗体。在体外检测到抗 LT 抗体,并显示出对 CT 的中和作用。在免疫小鼠中也检测到了抗 STa 抗体,来自 IP 免疫小鼠的血清在体外中和了 STa 毒素。这项研究的数据表明,类毒素融合物 3xSTa(A14Q)-tmLT 是安全的,可以诱导中和抗毒素抗体,为针对 ETEC 腹泻的疫苗开发提供了有价值的信息。

https://cdn.ncbi.nlm.nih.gov/pmc/blobs/ed76/3795625/95b9b7918971/pone.0077386.g001.jpg

文献AI研究员

20分钟写一篇综述,助力文献阅读效率提升50倍。

立即体验

用中文搜PubMed

大模型驱动的PubMed中文搜索引擎

马上搜索

文档翻译

学术文献翻译模型,支持多种主流文档格式。

立即体验