• 文献检索
  • 文档翻译
  • 深度研究
  • 学术资讯
  • Suppr Zotero 插件Zotero 插件
  • 邀请有礼
  • 套餐&价格
  • 历史记录
应用&插件
Suppr Zotero 插件Zotero 插件浏览器插件Mac 客户端Windows 客户端微信小程序
定价
高级版会员购买积分包购买API积分包
服务
文献检索文档翻译深度研究API 文档MCP 服务
关于我们
关于 Suppr公司介绍联系我们用户协议隐私条款
关注我们

Suppr 超能文献

核心技术专利:CN118964589B侵权必究
粤ICP备2023148730 号-1Suppr @ 2026

文献检索

告别复杂PubMed语法,用中文像聊天一样搜索,搜遍4000万医学文献。AI智能推荐,让科研检索更轻松。

立即免费搜索

文件翻译

保留排版,准确专业,支持PDF/Word/PPT等文件格式,支持 12+语言互译。

免费翻译文档

深度研究

AI帮你快速写综述,25分钟生成高质量综述,智能提取关键信息,辅助科研写作。

立即免费体验

伊波朗盖亚脓疱蛛(盲蛛目)中1-庚烯-3-酮的第一条生物合成途径。

First biosynthetic pathway of 1-hepten-3-one in Iporangaia pustulosa (Opiliones).

作者信息

Rocha Daniele F O, Wouters Felipe C, Machado Glauco, Marsaioli Anita J

机构信息

Chemistry Institute, State University of Campinas, POB 6154, 13083-970 Campinas, SP, Brazil.

出版信息

Sci Rep. 2013 Nov 6;3:3156. doi: 10.1038/srep03156.

DOI:10.1038/srep03156
PMID:24193576
原文链接:https://pmc.ncbi.nlm.nih.gov/articles/PMC3818658/
Abstract

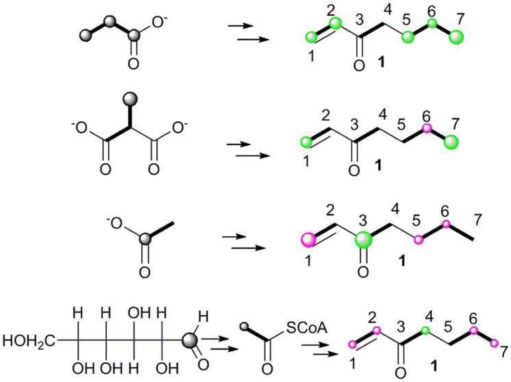
Arthropods produce a great variety of natural compounds, many of which have unexplored biosynthesis. Among the armored harvestmen (Arachnida: Opiliones) of the suborder Laniatores, the defensive gland exudates contain vinyl ketones and other constituents of supposed polyketide origin. We have studied the biosynthesis of 1-hepten-3-one in the Neotropical harvestman Iporangaia pustulosa by feeding individuals with ¹³C-labeled precursors, demonstrating its mixed acetate/propionate origin. ¹³C NMR spectroscopy showed an unusual labeling pattern suggesting different propionate sources for starting and extender units. Our analysis also indicates the presence of methylmalonyl-CoA mutase, converting acetate into propionyl-CoA via succinyl-CoA, together with other C₃ unit routes. This is the first biosynthetic study of alkyl vinyl ketones in arthropods. Our results shed light on the origin and diversification of chemical compounds in a major arthropod group.

摘要

节肢动物能产生种类繁多的天然化合物,其中许多化合物的生物合成尚未得到探索。在鞭蛛亚目(蛛形纲:盲蛛目)的带甲盲蛛中,防御腺分泌物含有乙烯基酮和其他推测为聚酮来源的成分。我们通过用¹³C标记的前体喂养新热带盲蛛Iporangaia pustulosa个体,研究了1-庚烯-3-酮的生物合成,证明了其混合的乙酸盐/丙酸盐来源。¹³C核磁共振光谱显示出一种不寻常的标记模式,表明起始单元和延伸单元的丙酸盐来源不同。我们的分析还表明存在甲基丙二酰辅酶A变位酶,它通过琥珀酰辅酶A将乙酸盐转化为丙酰辅酶A,以及其他C₃单元途径。这是节肢动物中烷基乙烯基酮的首次生物合成研究。我们的结果揭示了一个主要节肢动物类群中化合物的起源和多样化。

https://cdn.ncbi.nlm.nih.gov/pmc/blobs/96a5/3818658/1b454e130306/srep03156-f7.jpg
https://cdn.ncbi.nlm.nih.gov/pmc/blobs/96a5/3818658/9552d6670a12/srep03156-f1.jpg
https://cdn.ncbi.nlm.nih.gov/pmc/blobs/96a5/3818658/138936af2bd5/srep03156-f2.jpg
https://cdn.ncbi.nlm.nih.gov/pmc/blobs/96a5/3818658/08d304975c5b/srep03156-f3.jpg
https://cdn.ncbi.nlm.nih.gov/pmc/blobs/96a5/3818658/f3ca45f8fc43/srep03156-f4.jpg
https://cdn.ncbi.nlm.nih.gov/pmc/blobs/96a5/3818658/c07b00415cff/srep03156-f5.jpg
https://cdn.ncbi.nlm.nih.gov/pmc/blobs/96a5/3818658/0066197b7cb7/srep03156-f6.jpg
https://cdn.ncbi.nlm.nih.gov/pmc/blobs/96a5/3818658/1b454e130306/srep03156-f7.jpg
https://cdn.ncbi.nlm.nih.gov/pmc/blobs/96a5/3818658/9552d6670a12/srep03156-f1.jpg
https://cdn.ncbi.nlm.nih.gov/pmc/blobs/96a5/3818658/138936af2bd5/srep03156-f2.jpg
https://cdn.ncbi.nlm.nih.gov/pmc/blobs/96a5/3818658/08d304975c5b/srep03156-f3.jpg
https://cdn.ncbi.nlm.nih.gov/pmc/blobs/96a5/3818658/f3ca45f8fc43/srep03156-f4.jpg
https://cdn.ncbi.nlm.nih.gov/pmc/blobs/96a5/3818658/c07b00415cff/srep03156-f5.jpg
https://cdn.ncbi.nlm.nih.gov/pmc/blobs/96a5/3818658/0066197b7cb7/srep03156-f6.jpg
https://cdn.ncbi.nlm.nih.gov/pmc/blobs/96a5/3818658/1b454e130306/srep03156-f7.jpg

相似文献

1
First biosynthetic pathway of 1-hepten-3-one in Iporangaia pustulosa (Opiliones).伊波朗盖亚脓疱蛛(盲蛛目)中1-庚烯-3-酮的第一条生物合成途径。
Sci Rep. 2013 Nov 6;3:3156. doi: 10.1038/srep03156.
2
Assessing the reversibility of the anaplerotic reactions of the propionyl-CoA pathway in heart and liver.评估丙酰辅酶A途径在心脏和肝脏中回补反应的可逆性。
J Biol Chem. 2003 Sep 12;278(37):34959-65. doi: 10.1074/jbc.M302013200. Epub 2003 Jun 24.
3
The error in the cryptic stereospecificity of methylmalonyl-CoA mutase. The use of carba-(dethia)-coenzyme A substrate analogues gives new insight into the enzyme mechanism.甲基丙二酰辅酶A变位酶神秘立体特异性中的错误。碳硼烷(脱硫)辅酶A底物类似物的使用为酶作用机制提供了新的见解。
Eur J Biochem. 1988 Apr 5;173(1):191-201. doi: 10.1111/j.1432-1033.1988.tb13984.x.
4
Metabolic engineering of a methylmalonyl-CoA mutase-epimerase pathway for complex polyketide biosynthesis in Escherichia coli.用于大肠杆菌中复杂聚酮化合物生物合成的甲基丙二酰辅酶A变位酶-表异构酶途径的代谢工程。
Biochemistry. 2002 Apr 23;41(16):5193-201. doi: 10.1021/bi015593k.
5
Formation and metabolism of methylmalonyl coenzyme A in Corynebacterium glutamicum.谷氨酸棒杆菌中甲基丙二酰辅酶A的形成与代谢
J Bacteriol. 2009 Apr;191(8):2899-901. doi: 10.1128/JB.01756-08. Epub 2009 Feb 20.
6
On the mechanism of action of methylmalonyl-CoA mutase. Change of the steric course on isotope substitution.关于甲基丙二酰辅酶A变位酶的作用机制。同位素取代对空间进程的影响。
Eur J Biochem. 1986 May 2;156(3):545-54. doi: 10.1111/j.1432-1033.1986.tb09614.x.
7
6-Alkyl-3,4-dihydro-2H-pyrans: chemical secretion compounds in neotropical harvestmen.6-烷基-3,4-二氢-2H-吡喃:新热带盲蛛的化学分泌物化合物。
J Nat Prod. 2011 Apr 25;74(4):658-63. doi: 10.1021/np100719f. Epub 2011 Feb 25.
8
Harvestman phenols and benzoquinones: characterisation and biosynthetic pathway.捕鸟蛛酚类和苯醌:特征和生物合成途径。
Molecules. 2013 Sep 16;18(9):11429-51. doi: 10.3390/molecules180911429.
9
Insertional inactivation of methylmalonyl coenzyme A (CoA) mutase and isobutyryl-CoA mutase genes in Streptomyces cinnamonensis: influence on polyketide antibiotic biosynthesis.肉桂链霉菌中甲基丙二酰辅酶A(CoA)变位酶和异丁酰辅酶A变位酶基因的插入失活:对聚酮类抗生素生物合成的影响
J Bacteriol. 1999 Sep;181(18):5600-5. doi: 10.1128/JB.181.18.5600-5605.1999.
10
Quantitative measurement of the error in the cryptic stereospecificity of methylmalonyl-CoA mutase.甲基丙二酰辅酶A变位酶隐蔽立体特异性误差的定量测量。
Eur J Biochem. 1987 Nov 2;168(3):659-67. doi: 10.1111/j.1432-1033.1987.tb13467.x.

引用本文的文献

1
Scenting Ketones in the Defense Glands of Two Julids From the Caucasus (Arthropoda, Myriapoda, Diplopoda, Julida).在来自高加索地区的两种马陆(节肢动物门、多足纲、倍足纲、马陆目)的防御腺中检测到酮类物质
J Chem Ecol. 2025 Apr 29;51(3):50. doi: 10.1007/s10886-025-01603-4.
2
Elucidating the mechanism of fluorinated extender unit loading for improved production of fluorine-containing polyketides.阐明含氟延伸单元加载机制以提高含氟聚酮化合物的产量。
Proc Natl Acad Sci U S A. 2017 Jan 31;114(5):E660-E668. doi: 10.1073/pnas.1614196114. Epub 2017 Jan 17.
3
Chemosystematics in the Opiliones (Arachnida): a comment on the evolutionary history of alkylphenols and benzoquinones in the scent gland secretions of Laniatores.

本文引用的文献

1
The ecological tale of Gonyleptidae (Arachnida, Opiliones) evolution: phylogeny of a Neotropical lineage of armoured harvestmen using ecological, behavioural and chemical characters.幽灵蛛科(蛛形纲,盲蛛目)进化的生态故事:利用生态、行为和化学特征对新热带地区铠甲类收割者一个谱系的系统发育研究
Cladistics. 2013 Dec;29(6):589-609. doi: 10.1111/cla.12009. Epub 2013 Jan 25.
2
Alkylphenols in the defensive secretion of the nearctic opilionid,Stygnomma spinifera (Arachnida: Opiliones).近北极盲蛛,Stygnomma spinifera(蛛形纲:盲蛛目)防御分泌物中的烷基酚。
J Chem Ecol. 1981 Mar;7(2):445-52. doi: 10.1007/BF00995767.
3
Bacterial symbionts and natural products.
盲蛛目(蛛形纲)的化学分类学:关于扁蛛亚目气味腺分泌物中烷基酚和苯醌进化史的评论
Cladistics. 2015 Apr;31(2):202-209. doi: 10.1111/cla.12079. Epub 2014 May 15.
4
On the enigmatic scent glands of dyspnoan harvestmen (Arachnida, Opiliones): first evidence for the production of volatile secretions.关于呼吸急促的盲蛛(蛛形纲,盲蛛目)神秘的气味腺:挥发性分泌物产生的首个证据
Chemoecology. 2014;24(2):43-55. doi: 10.1007/s00049-014-0146-5. Epub 2014 Jan 31.
细菌共生体与天然产物。
Chem Commun (Camb). 2011 Jul 21;47(27):7559-66. doi: 10.1039/c1cc11574j. Epub 2011 May 19.
4
6-Alkyl-3,4-dihydro-2H-pyrans: chemical secretion compounds in neotropical harvestmen.6-烷基-3,4-二氢-2H-吡喃:新热带盲蛛的化学分泌物化合物。
J Nat Prod. 2011 Apr 25;74(4):658-63. doi: 10.1021/np100719f. Epub 2011 Feb 25.
5
The biosynthetic logic of polyketide diversity.聚酮化合物多样性的生物合成逻辑。
Angew Chem Int Ed Engl. 2009;48(26):4688-716. doi: 10.1002/anie.200806121.
6
Biosynthesis of polyketide synthase extender units.聚酮合酶延伸单元的生物合成。
Nat Prod Rep. 2009 Jan;26(1):90-114. doi: 10.1039/b801658p.
7
Metabolites from symbiotic bacteria.来自共生细菌的代谢产物。
Nat Prod Rep. 2009 Mar;26(3):338-62. doi: 10.1039/b703499g. Epub 2008 Dec 5.
8
Polyketides in insects: ecological role of these widespread chemicals and evolutionary aspects of their biogenesis.昆虫中的聚酮化合物:这些广泛存在的化学物质的生态作用及其生物合成的进化方面。
Biol Rev Camb Philos Soc. 2008 May;83(2):209-26. doi: 10.1111/j.1469-185X.2008.00040.x. Epub 2008 Apr 10.
9
Synthesis of C5-dicarboxylic acids from C2-units involving crotonyl-CoA carboxylase/reductase: the ethylmalonyl-CoA pathway.通过巴豆酰辅酶A羧化酶/还原酶由C2单位合成C5-二羧酸:乙基丙二酰辅酶A途径。
Proc Natl Acad Sci U S A. 2007 Jun 19;104(25):10631-6. doi: 10.1073/pnas.0702791104. Epub 2007 Jun 4.
10
Chemical defense in harvestmen (arachnida, opiliones): do benzoquinone secretions deter invertebrate and vertebrate predators?盲蛛(蛛形纲,盲蛛目)的化学防御:对苯二酚分泌物能威慑无脊椎动物和脊椎动物捕食者吗?
J Chem Ecol. 2005 Nov;31(11):2519-39. doi: 10.1007/s10886-005-7611-0. Epub 2005 Oct 25.