• 文献检索
  • 文档翻译
  • 深度研究
  • 学术资讯
  • Suppr Zotero 插件Zotero 插件
  • 邀请有礼
  • 套餐&价格
  • 历史记录
应用&插件
Suppr Zotero 插件Zotero 插件浏览器插件Mac 客户端Windows 客户端微信小程序
定价
高级版会员购买积分包购买API积分包
服务
文献检索文档翻译深度研究API 文档MCP 服务
关于我们
关于 Suppr公司介绍联系我们用户协议隐私条款
关注我们

Suppr 超能文献

核心技术专利:CN118964589B侵权必究
粤ICP备2023148730 号-1Suppr @ 2026

文献检索

告别复杂PubMed语法,用中文像聊天一样搜索,搜遍4000万医学文献。AI智能推荐,让科研检索更轻松。

立即免费搜索

文件翻译

保留排版,准确专业,支持PDF/Word/PPT等文件格式,支持 12+语言互译。

免费翻译文档

深度研究

AI帮你快速写综述,25分钟生成高质量综述,智能提取关键信息,辅助科研写作。

立即免费体验

白云杉×恩氏云杉杂交带中的适应性与外源选择:对气候变化下森林管理的启示

Adaptation and exogenous selection in a Picea glauca × Picea engelmannii hybrid zone: implications for forest management under climate change.

作者信息

De La Torre Amanda R, Wang Tongli, Jaquish Barry, Aitken Sally N

机构信息

Centre for Forest Conservation Genetics, Department of Forest and Conservation Sciences, University of British Columbia, 3041-2424 Main Mall, Vancouver, BC, V6T1Z4, Canada.

Department of Ecology and Environmental Sciences, Umeå University, Linneaus väg 6, SE-901 87, Umeå, Sweden.

出版信息

New Phytol. 2014 Jan;201(2):687-699. doi: 10.1111/nph.12540. Epub 2013 Oct 8.

DOI:10.1111/nph.12540
PMID:24200028
原文链接:https://pmc.ncbi.nlm.nih.gov/articles/PMC4285121/
Abstract

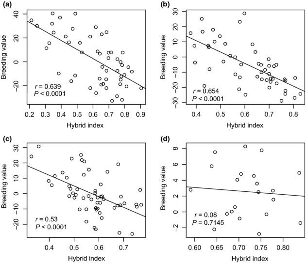
The nature of selection responsible for the maintenance of the economically and ecologically important Picea glauca × Picea engelmannii hybrid zone was investigated. Genomic, phenotypic and climatic data were used to test assumptions of hybrid zone maintenance and to model future scenarios under climate change. Genome-wide estimates of admixture based on a panel of 86 candidate gene single nucleotide polymorphisms were combined with long-term quantitative data on growth and survival (over 20 yr), as well as one-time assessments of bud burst and bud set phenology, and cold hardiness traits. A total of 15,498 individuals were phenotyped for growth and survival. Our results suggest that the P. glauca × P. engelmannii hybrid zone is maintained by local adaptation to growing season length and snowpack (exogenous selection). Hybrids appeared to be fitter than pure species in intermediate environments, which fits expectations of the bounded hybrid superiority model of hybrid zone maintenance. Adaptive introgression from parental species has probably contributed to increased hybrid fitness in intermediate habitats. While P. engelmannii ancestry is higher than P. glauca ancestry in hybrid populations, on average, selective breeding in managed hybrid populations is shifting genomic composition towards P. glauca, potentially pre-adapting managed populations to warmer climates.

摘要

对负责维持具有经济和生态重要性的白云杉×恩氏云杉杂交带的选择性质进行了研究。利用基因组、表型和气候数据来检验杂交带维持的假设,并对气候变化下的未来情景进行建模。基于一组86个候选基因单核苷酸多态性的全基因组混合估计,与关于生长和存活的长期定量数据(超过20年),以及对芽萌发和芽休眠物候以及抗寒性状的一次性评估相结合。总共对15498个个体进行了生长和存活的表型分析。我们的结果表明,白云杉×恩氏云杉杂交带是通过对生长季节长度和积雪(外源选择)的局部适应来维持的。在中间环境中,杂种似乎比纯种更具适应性,这符合杂交带维持的有界杂种优势模型的预期。亲本物种的适应性渐渗可能有助于提高中间栖息地杂种的适应性。虽然在杂交种群中,恩氏云杉的血统高于白云杉的血统,但平均而言,人工杂交种群中的选择育种正在使基因组组成向白云杉转移,这可能使人工种群对温暖气候具有预先适应性。

https://cdn.ncbi.nlm.nih.gov/pmc/blobs/2e1a/4285121/58843f8d18a2/nph0201-0687-f6.jpg
https://cdn.ncbi.nlm.nih.gov/pmc/blobs/2e1a/4285121/cd0cc8486dd5/nph0201-0687-f1.jpg
https://cdn.ncbi.nlm.nih.gov/pmc/blobs/2e1a/4285121/994d1da3b56c/nph0201-0687-f2.jpg
https://cdn.ncbi.nlm.nih.gov/pmc/blobs/2e1a/4285121/4d8c44899c89/nph0201-0687-f3.jpg
https://cdn.ncbi.nlm.nih.gov/pmc/blobs/2e1a/4285121/114935a204b7/nph0201-0687-f4.jpg
https://cdn.ncbi.nlm.nih.gov/pmc/blobs/2e1a/4285121/8f504a709c32/nph0201-0687-f5.jpg
https://cdn.ncbi.nlm.nih.gov/pmc/blobs/2e1a/4285121/58843f8d18a2/nph0201-0687-f6.jpg
https://cdn.ncbi.nlm.nih.gov/pmc/blobs/2e1a/4285121/cd0cc8486dd5/nph0201-0687-f1.jpg
https://cdn.ncbi.nlm.nih.gov/pmc/blobs/2e1a/4285121/994d1da3b56c/nph0201-0687-f2.jpg
https://cdn.ncbi.nlm.nih.gov/pmc/blobs/2e1a/4285121/4d8c44899c89/nph0201-0687-f3.jpg
https://cdn.ncbi.nlm.nih.gov/pmc/blobs/2e1a/4285121/114935a204b7/nph0201-0687-f4.jpg
https://cdn.ncbi.nlm.nih.gov/pmc/blobs/2e1a/4285121/8f504a709c32/nph0201-0687-f5.jpg
https://cdn.ncbi.nlm.nih.gov/pmc/blobs/2e1a/4285121/58843f8d18a2/nph0201-0687-f6.jpg

相似文献

1
Adaptation and exogenous selection in a Picea glauca × Picea engelmannii hybrid zone: implications for forest management under climate change.白云杉×恩氏云杉杂交带中的适应性与外源选择:对气候变化下森林管理的启示
New Phytol. 2014 Jan;201(2):687-699. doi: 10.1111/nph.12540. Epub 2013 Oct 8.
2
Genomic and phenotypic architecture of a spruce hybrid zone (Picea sitchensis × P. glauca).云杉杂交区的基因组和表型结构(云杉 sitchensis×云杉 glauca)。
Mol Ecol. 2013 Feb;22(3):827-41. doi: 10.1111/mec.12007. Epub 2012 Sep 12.
3
Growth gains from selective breeding in a spruce hybrid zone do not compromise local adaptation to climate.云杉杂交区中通过选择性育种获得的生长优势不会损害对当地气候的适应性。
Evol Appl. 2017 Sep 3;11(2):166-181. doi: 10.1111/eva.12525. eCollection 2018 Feb.
4
Differential introgression reveals candidate genes for selection across a spruce (Picea sitchensis × P. glauca) hybrid zone.差异渐渗揭示了云杉(Picea sitchensis×P. glauca)杂交带选择的候选基因。
New Phytol. 2013 Feb;197(3):927-938. doi: 10.1111/nph.12055. Epub 2012 Dec 10.
5
Genetic and morphological structure of a spruce hybrid (Picea sitchensis x P. glauca) zone along a climatic gradient.沿气候梯度的云杉杂种(Picea sitchensis x P. glauca)带的遗传和形态结构。
Am J Bot. 2013 Aug;100(8):1651-62. doi: 10.3732/ajb.1200654. Epub 2013 Aug 8.
6
Genetic architecture and genomic patterns of gene flow between hybridizing species of Picea.遗传结构和基因流在杂交云杉种间的基因组模式。
Heredity (Edinb). 2015 Aug;115(2):153-64. doi: 10.1038/hdy.2015.19. Epub 2015 Mar 25.
7
Picturing local adaptation: Spectral and structural traits from drone remote sensing reveal clinal responses to climate transfer in common-garden trials of interior spruce (Picea engelmannii × glauca).描绘地方适应性:来自无人机遥感的光谱和结构特征揭示了内陆云杉(Picea engelmannii × glauca)田间试验中对气候转移的渐变响应。
Glob Chang Biol. 2023 Sep;29(17):4842-4860. doi: 10.1111/gcb.16855. Epub 2023 Jul 9.
8
Genome-wide admixture and ecological niche modelling reveal the maintenance of species boundaries despite long history of interspecific gene flow.全基因组混合和生态位建模揭示了尽管存在长期的种间基因流动,但仍能维持物种边界。
Mol Ecol. 2014 Apr;23(8):2046-59. doi: 10.1111/mec.12710. Epub 2014 Apr 3.
9
Application of ISSR, RAPD, and cytological markers to the certification of Picea mariana, P. glauca, and P. engelmannii trees, and their putative hybrids.利用ISSR、RAPD和细胞学标记鉴定黑云杉、白云杉和恩氏云杉及其推定杂种。
Genome. 2005 Apr;48(2):302-11. doi: 10.1139/g04-118.
10
Purifying selection does not drive signatures of convergent local adaptation of lodgepole pine and interior spruce.净化选择不会导致落矶山冷杉和内陆云杉趋同局部适应的特征。
BMC Evol Biol. 2019 May 28;19(1):110. doi: 10.1186/s12862-019-1438-8.

引用本文的文献

1
Contribution of Range-Wide and Short-Scale Chemical Soil Variation to Local Adaptation in a Tropical Montane Forest Tree.大范围和小尺度化学土壤变异对热带山地森林树木局部适应性的贡献。
Evol Appl. 2025 Jul 9;18(7):e70116. doi: 10.1111/eva.70116. eCollection 2025 Jul.
2
Adaptive Introgression as an Evolutionary Force: A Meta-Analysis of Knowledge Trends.作为一种进化力量的适应性渐渗:知识趋势的荟萃分析
Evol Appl. 2025 Jun 20;18(6):e70103. doi: 10.1111/eva.70103. eCollection 2025 Jun.
3
Variation in responses to temperature across admixed genotypes of × predict geographic shifts in regions where hybrids are favored.

本文引用的文献

1
NARROW HYBRID ZONE BETWEEN TWO SUBSPECIES OF BIG SAGEBRUSH (ARTEMISIA TRIDENTATA: ASTERACEAE). IV. RECIPROCAL TRANSPLANT EXPERIMENTS.两种北美蒿草(三齿蒿:菊科)亚种间的狭窄杂交带。IV. 相互移植实验。
Evolution. 1997 Feb;51(1):95-102. doi: 10.1111/j.1558-5646.1997.tb02391.x.
2
Adaptation, migration or extirpation: climate change outcomes for tree populations.适应、迁移或灭绝:树木种群的气候变化结果
Evol Appl. 2008 Feb;1(1):95-111. doi: 10.1111/j.1752-4571.2007.00013.x.
3
Genome-wide admixture and ecological niche modelling reveal the maintenance of species boundaries despite long history of interspecific gene flow.
× 混合基因型对温度反应的差异预测了杂种受青睐地区的地理变化。
bioRxiv. 2025 May 22:2025.05.16.654548. doi: 10.1101/2025.05.16.654548.
4
Ecological niche contributes to the persistence of the western × glaucous-winged gull hybrid zone.生态位有助于西部×灰翅鸥杂交带的持续存在。
Ecol Evol. 2024 Jul 11;14(7):e11678. doi: 10.1002/ece3.11678. eCollection 2024 Jul.
5
Under Stress: Searching for Genes Involved in the Response of Boiss to Climate Change.压力下:寻找与 Boiss 对气候变化响应相关的基因。
Int J Mol Sci. 2024 Apr 28;25(9):4820. doi: 10.3390/ijms25094820.
6
Ecological niche contributes to the persistence of the Western x Glaucous-winged Gull hybrid zone.生态位有助于西部×灰翅鸥杂交带的持久性。
bioRxiv. 2023 Dec 17:2023.12.14.571742. doi: 10.1101/2023.12.14.571742.
7
Habitat and climate influence hybridization among three genetically distinct Canada jay (Perisoreus canadensis) morphotypes in an avian hybrid zone complex.生境和气候影响鸟类杂交区复合体中三种遗传上不同的加拿大松鸦(Perisoreus canadensis)形态型之间的杂交。
Heredity (Edinb). 2023 Dec;131(5-6):361-373. doi: 10.1038/s41437-023-00652-3. Epub 2023 Oct 9.
8
Demographic responses of hybridizing cinquefoils to changing climate in the Colorado Rocky Mountains.科罗拉多落基山脉杂交委陵菜对气候变化的种群统计学响应
Ecol Evol. 2023 Jul 11;13(7):e10097. doi: 10.1002/ece3.10097. eCollection 2023 Jul.
9
Differences in heat tolerance, water use efficiency and growth among Douglas-fir families and varieties evidenced by GWAS and common garden studies.全基因组关联研究(GWAS)和同质园试验表明花旗松不同家系和品种在耐热性、水分利用效率和生长方面存在差异。
AoB Plants. 2023 Mar 1;15(2):plad008. doi: 10.1093/aobpla/plad008. eCollection 2023 Feb.
10
Genomic clines across the species boundary between a hybrid pine and its progenitor in the eastern Tibetan Plateau.青藏高原东部杂交松与其祖先之间种间边界的基因组梯度。
Plant Commun. 2023 Jul 10;4(4):100574. doi: 10.1016/j.xplc.2023.100574. Epub 2023 Mar 11.
全基因组混合和生态位建模揭示了尽管存在长期的种间基因流动,但仍能维持物种边界。
Mol Ecol. 2014 Apr;23(8):2046-59. doi: 10.1111/mec.12710. Epub 2014 Apr 3.
4
Hybridization and speciation.杂交与物种形成。
J Evol Biol. 2013 Feb;26(2):229-46. doi: 10.1111/j.1420-9101.2012.02599.x.
5
Long-distance gene flow and adaptation of forest trees to rapid climate change.远距离基因流动与林木对快速气候变化的适应
Ecol Lett. 2012 Apr;15(4):378-92. doi: 10.1111/j.1461-0248.2012.01746.x. Epub 2012 Feb 28.
6
Defense mechanisms against herbivory in Picea: sequence evolution and expression regulation of gene family members in the phenylpropanoid pathway.云杉防御机制以抵御食草动物:苯丙烷途径中基因家族成员的序列进化和表达调控。
BMC Genomics. 2011 Dec 16;12:608. doi: 10.1186/1471-2164-12-608.
7
Hybrid fitness, adaptation and evolutionary diversification: lessons learned from Louisiana Irises.杂种优势、适应和进化多样化:路易斯安那鸢尾的经验教训。
Heredity (Edinb). 2012 Mar;108(3):159-66. doi: 10.1038/hdy.2011.65. Epub 2011 Jul 27.
8
introgress: a software package for mapping components of isolation in hybrids.渐渗:一个用于绘制杂种隔离成分的软件包。
Mol Ecol Resour. 2010 Mar;10(2):378-84. doi: 10.1111/j.1755-0998.2009.02733.x. Epub 2009 Jun 10.
9
QTL mapping in white spruce: gene maps and genomic regions underlying adaptive traits across pedigrees, years and environments.白松的 QTL 作图:种系、年份和环境下适应性状的基因图谱和基因组区域。
BMC Genomics. 2011 Mar 10;12:145. doi: 10.1186/1471-2164-12-145.
10
Spatio-temporal changes in the genetic structure of the Passerina bunting hybrid zone.雀鹀杂交带遗传结构的时空变化。
Mol Ecol. 2011 Mar;20(6):1166-75. doi: 10.1111/j.1365-294X.2010.04987.x. Epub 2011 Jan 14.