Suppr超能文献

利用胶束-黏土吸附法从水环境中去除六价铬。

Removal of Cr(VI) from aqueous environments using micelle-clay adsorption.

作者信息

Qurie Mohannad, Khamis Mustafa, Manassra Adnan, Ayyad Ibrahim, Nir Shlomo, Scrano Laura, Bufo Sabino A, Karaman Rafik

机构信息

Department of Chemistry and Chemical Technology, Faculty of Science and Technology, Al-Quds University, 20002 Jerusalem, Palestine ; Department of Science, University of Basilicata, Via dell'Ateneo Lucano 10, 85100 Potenza, Italy.

出版信息

ScientificWorldJournal. 2013 Oct 3;2013:942703. doi: 10.1155/2013/942703. eCollection 2013.

Abstract

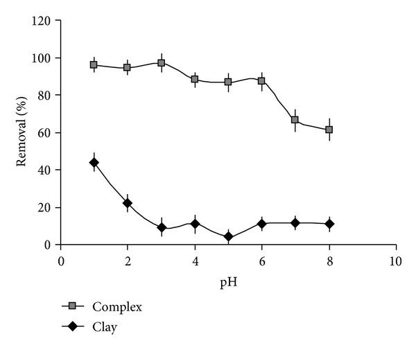
Removal of Cr(VI) from aqueous solutions under different conditions was investigated using either clay (montmorillonite) or micelle-clay complex, the last obtained by adsorbing critical micelle concentration of octadecyltrimethylammonium ions onto montmorillonite. Batch experiments showed the effects of contact time, adsorbent dosage, and pH on the removal efficiency of Cr(VI) from aqueous solutions. Langmuir adsorption isotherm fitted the experimental data giving significant results. Filtration experiments using columns filled with micelle-clay complex mixed with sand were performed to assess Cr(VI) removal efficiency under continuous flow at different pH values. The micelle-clay complex used in this study was capable of removing Cr(VI) from aqueous solutions without any prior acidification of the sample. Results demonstrated that the removal effectiveness reached nearly 100% when using optimal conditions for both batch and continuous flow techniques.

摘要

使用黏土(蒙脱石)或胶束 - 黏土复合物研究了在不同条件下从水溶液中去除六价铬的情况,后者是通过将十八烷基三甲基铵离子的临界胶束浓度吸附到蒙脱石上而获得的。批量实验表明了接触时间、吸附剂用量和pH值对从水溶液中去除六价铬效率的影响。朗缪尔吸附等温线拟合实验数据,结果显著。进行了使用填充有与沙子混合的胶束 - 黏土复合物的柱子的过滤实验,以评估在不同pH值下连续流动时六价铬的去除效率。本研究中使用的胶束 - 黏土复合物能够在不对样品进行任何预先酸化的情况下从水溶液中去除六价铬。结果表明,当对批量和连续流动技术都使用最佳条件时,去除效率几乎达到100%。

https://cdn.ncbi.nlm.nih.gov/pmc/blobs/4046/3814082/06580fccf038/TSWJ2013-942703.001.jpg

文献AI研究员

20分钟写一篇综述,助力文献阅读效率提升50倍。

立即体验

用中文搜PubMed

大模型驱动的PubMed中文搜索引擎

马上搜索

文档翻译

学术文献翻译模型,支持多种主流文档格式。

立即体验