Department of Medicine, University of Pittsburgh School of Medicine, Pittsburgh, PA.
J Am Heart Assoc. 2013 Nov 18;2(6):e000416. doi: 10.1161/JAHA.113.000416.
Hospitalization for heart failure (HHF) is among the most important problems confronting medicine. Late gadolinium enhancement (LGE) cardiovascular magnetic resonance (CMR) robustly identifies intrinsic myocardial damage. LGE may indicate inherent vulnerability to HHF, regardless of etiology, across the spectrum of heart failure stage or left ventricular ejection fraction (LVEF).
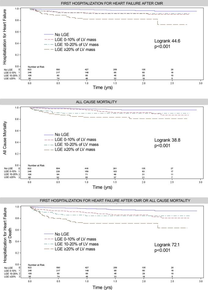
We enrolled 1068 consecutive patients referred for CMR where 448 (42%) exhibited LGE. After a median of 1.4 years (Q1 to Q3: 0.9 to 2.0 years), 57 HHF events occurred, 15 deaths followed HHF, and 43 deaths occurred without antecedent HHF (58 total deaths). Using multivariable Cox regression adjusting for LVEF, heart failure stage, and other covariates, LGE was associated with first HHF after CMR (HR: 2.70, 95% CI: 1.32 to 5.50), death (HR: 2.13, 95% CI: 1.08 to 4.21), or either death or HHF (HR: 2.52, 95% CI: 1.49 to 4.25). Quantifying LGE extent yielded similar results; more LGE equated higher risks. LGE improved model discrimination (IDI: 0.016, 95% CI: 0.005 to 0.028, P=0.002) and reclassification of individuals at risk (continuous NRI: 0.40, 95% CI: 0.05 to 0.70, P=0.024). Adjustment for competing risks of death that shares common risk factors with HHF strengthened the LGE and HHF association (HR: 4.85, 95% CI: 1.40 to 16.9).
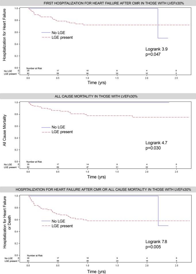
The presence and extent of LGE is associated with vulnerability for HHF, including higher risks of HHF across the spectrum of heart failure stage and LVEF. Even when LVEF is severely decreased, those without LGE appear to fare reasonably well. LGE may enhance risk stratification for HHF and may enhance both clinical and research efforts to reduce HHF through targeted treatment.
心力衰竭(HF)住院是医学面临的最重要问题之一。晚期钆增强(LGE)心血管磁共振(CMR)可强力识别固有心肌损伤。LGE 可指示心力衰竭阶段或左心室射血分数(LVEF)谱中任何病因导致的心力衰竭固有易损性。
我们纳入了 1068 例连续接受 CMR 检查的患者,其中 448 例(42%)存在 LGE。中位随访 1.4 年后(Q1 至 Q3:0.9 至 2.0 年),发生了 57 例心力衰竭住院事件,15 例死亡后发生心力衰竭,43 例死亡前未发生心力衰竭(共 58 例死亡)。使用多变量 Cox 回归调整 LVEF、心力衰竭阶段和其他协变量后,LGE 与 CMR 后首次心力衰竭(HR:2.70,95%CI:1.32 至 5.50)、死亡(HR:2.13,95%CI:1.08 至 4.21)或任何原因死亡或心力衰竭(HR:2.52,95%CI:1.49 至 4.25)相关。量化 LGE 范围得出了相似的结果;LGE 越多,风险越高。LGE 提高了模型区分度(IDI:0.016,95%CI:0.005 至 0.028,P=0.002)和个体风险再分类(连续 NRI:0.40,95%CI:0.05 至 0.70,P=0.024)。对与心力衰竭具有共同危险因素的死亡竞争风险进行调整后,LGE 与心力衰竭之间的关联得到了强化(HR:4.85,95%CI:1.40 至 16.9)。
LGE 的存在和范围与心力衰竭易感性相关,包括心力衰竭阶段和 LVEF 谱中更高的心力衰竭风险。即使 LVEF 严重降低,没有 LGE 的患者似乎也能很好地生存。LGE 可增强心力衰竭的风险分层,并可能通过靶向治疗来增强心力衰竭的临床和研究工作。