Suppr超能文献

磷酸钙结石形成的决定因素:一项病例对照研究。

Determinants of brushite stone formation: a case-control study.

机构信息

University Stone Centre, Department of Urology, University of Bonn, Bonn, Germany.

出版信息

PLoS One. 2013 Nov 12;8(11):e78996. doi: 10.1371/journal.pone.0078996. eCollection 2013.

Abstract

PURPOSE

The occurrence of brushite stones has increased during recent years. However, the pathogenic factors driving the development of brushite stones remain unclear.

METHODS

Twenty-eight brushite stone formers and 28 age-, sex- and BMI-matched healthy individuals were enrolled in this case-control study. Anthropometric, clinical, 24 h urinary parameters and dietary intake from 7-day weighed food records were assessed.

RESULTS

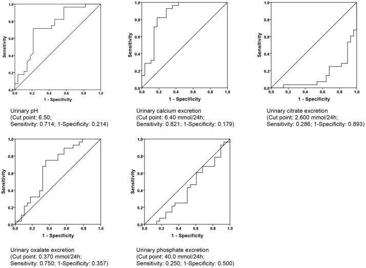
Pure brushite stones were present in 46% of patients, while calcium oxalate was the major secondary stone component. Urinary pH and oxalate excretion were significantly higher, whereas urinary citrate was lower in patients as compared to healthy controls. Despite lower dietary intake, urinary calcium excretion was significantly higher in brushite stone patients. Binary logistic regression analysis revealed pH>6.50 (OR 7.296; p = 0.035), calcium>6.40 mmol/24 h (OR 25.213; p = 0.001) and citrate excretion <2.600 mmol/24 h (OR 15.352; p = 0.005) as urinary risk factors for brushite stone formation. A total of 56% of patients exhibited distal renal tubular acidosis (dRTA). Urinary pH, calcium and citrate excretion did not significantly differ between patients with or without dRTA.

CONCLUSIONS

Hypercalciuria, a diminished citrate excretion and an elevated pH turned out to be the major urinary determinants of brushite stone formation. Interestingly, urinary phosphate was not associated with urolithiasis. The increased urinary oxalate excretion, possibly due to decreased calcium intake, promotes the risk of mixed stone formation with calcium oxalate. Neither dietary factors nor dRTA can account as cause for hypercalciuria, higher urinary pH and diminished citrate excretion. Further research is needed to define the role of dRTA in brushite stone formation and to evaluate the hypothesis of an acquired acidification defect.

摘要

目的

近年来,鸟粪石结石的发生率有所增加。然而,导致鸟粪石结石形成的致病因素仍不清楚。

方法

本病例对照研究纳入了 28 名鸟粪石结石形成者和 28 名年龄、性别和 BMI 匹配的健康个体。评估了人体测量学、临床、24 小时尿参数和 7 天称重食物记录的饮食摄入。

结果

纯鸟粪石结石在患者中占 46%,而草酸钙是主要的次要结石成分。与健康对照组相比,患者的尿 pH 和草酸盐排泄显著升高,而尿枸橼酸盐排泄降低。尽管饮食摄入较低,但鸟粪石结石患者的尿钙排泄仍显著升高。二元逻辑回归分析显示,尿 pH>6.50(OR 7.296;p=0.035)、尿钙>6.40mmol/24 h(OR 25.213;p=0.001)和枸橼酸盐排泄<2.600mmol/24 h(OR 15.352;p=0.005)是鸟粪石结石形成的尿危险因素。共有 56%的患者存在远端肾小管酸中毒(dRTA)。dRTA 患者和无 dRTA 患者的尿 pH、钙和枸橼酸盐排泄无显著差异。

结论

高钙尿症、枸橼酸盐排泄减少和 pH 升高是鸟粪石结石形成的主要尿决定因素。有趣的是,尿磷酸盐与尿结石无关。尿草酸排泄增加,可能由于钙摄入减少,增加了与草酸钙混合结石形成的风险。饮食因素和 dRTA 都不能作为高钙尿症、更高的尿 pH 和减少的枸橼酸盐排泄的原因。需要进一步研究来确定 dRTA 在鸟粪石结石形成中的作用,并评估获得性酸化缺陷的假说。

https://cdn.ncbi.nlm.nih.gov/pmc/blobs/700c/3827110/bc69090643de/pone.0078996.g001.jpg

文献AI研究员

20分钟写一篇综述,助力文献阅读效率提升50倍。

立即体验

用中文搜PubMed

大模型驱动的PubMed中文搜索引擎

马上搜索

文档翻译

学术文献翻译模型,支持多种主流文档格式。

立即体验