Suppr超能文献

富勒烯(C60)在 RAW264.7 细胞培养物和腹腔注射小鼠中的炎症反应诱导。

Induction of Inflammatory Responses by Carbon Fullerene (C60) in Cultured RAW264.7 Cells and in Intraperitoneally Injected Mice.

机构信息

College of Pharmacy, Dongduk Women's University, Seoul 136-714.

出版信息

Toxicol Res. 2010 Dec;26(4):267-73. doi: 10.5487/TR.2010.26.4.267.

Abstract

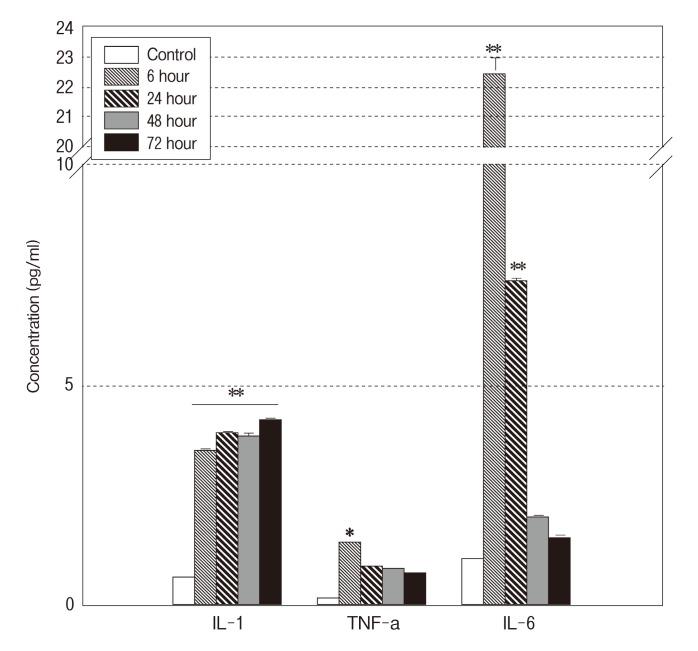
As the use of carbon fullerene increases in the chemical industry, the concern over its biological and toxicological effects is also increasing. In this study, the suspension of carbon fullerene (C60) in phosphate buffered saline was prepared and toxicity was investigated using cultured RAW 264.7 and in intraperitoneally injected mice, respectively. The average size of carbon fullerene in the suspension was 53.7 ± 26.5 nm when determined by particle size analyzer. Cell viability was significantly decreased by the exposure of carbon fullerene (0.25~2.00 μg/ml) for 96 hrs in the cultured RAW 264.7 cells. Intracellular reduced glutathione (GSH) level was also decreased compared to the level of the non-treated control group during the exposure period, while the level of nitric oxide was increased. When mice were intraperitoneally injected with carbon fullerene, serum cytokine levels of IL-1 and IL-6 were increased with the increased expression of inflammatory genes in peritoneal macrophage and T cell distribution in blood lymphocytes.The results suggested inflammatory responses were induced by carbon fullerene.

摘要

随着碳富勒烯在化学工业中的应用增加,人们对其生物和毒理学效应的关注也在增加。在这项研究中,分别使用培养的 RAW 264.7 细胞和腹腔注射的小鼠制备了碳富勒烯(C60)在磷酸盐缓冲盐水中的悬浮液,并分别研究了其毒性。通过颗粒大小分析仪测定,悬浮液中碳富勒烯的平均粒径为 53.7±26.5nm。在培养的 RAW 264.7 细胞中暴露于碳富勒烯(0.25~2.00μg/ml)96 小时后,细胞活力显著下降。与未处理对照组相比,在暴露期间细胞内还原型谷胱甘肽(GSH)水平也降低,而一氧化氮水平升高。当小鼠腹腔内注射碳富勒烯时,血清细胞因子 IL-1 和 IL-6 水平升高,腹腔巨噬细胞和血液淋巴细胞中 T 细胞分布的炎症基因表达增加。结果表明,碳富勒烯引起了炎症反应。

https://cdn.ncbi.nlm.nih.gov/pmc/blobs/91fe/3834498/180161892af2/toxicr-26-267-g001.jpg

文献AI研究员

20分钟写一篇综述,助力文献阅读效率提升50倍。

立即体验

用中文搜PubMed

大模型驱动的PubMed中文搜索引擎

马上搜索

文档翻译

学术文献翻译模型,支持多种主流文档格式。

立即体验