Suppr超能文献

感觉运动序列的模态特异性组织。

Modality-specific organization in the representation of sensorimotor sequences.

机构信息

IfADo - Leibniz Research Centre for Working Environment and Human Factors Dortmund, Germany.

出版信息

Front Psychol. 2013 Dec 11;4:937. doi: 10.3389/fpsyg.2013.00937. eCollection 2013.

Abstract

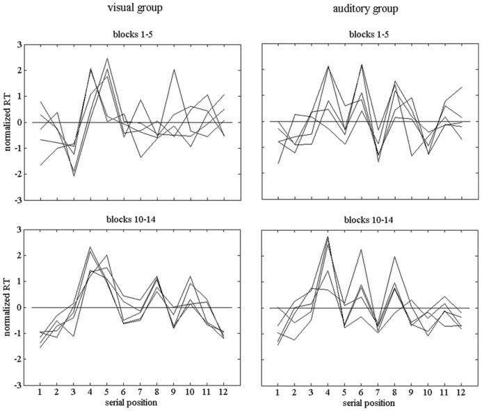
Sensorimotor representations of movement sequences are hierarchically organized. Here we test the effects of different stimulus modalities on such organizations. In the visual group, participants responded to a repeated sequence of visually presented stimuli by depressing spatially compatible keys on a response pad. In the auditory group, learners were required to respond to auditorily presented stimuli, which had no direct spatial correspondence with the response keys: the lowest pitch corresponded to the leftmost key and the highest pitch to the rightmost key. We demonstrate that hierarchically and auto-organized sensorimotor representations are developed through practice, which are specific both to individuals and stimulus modalities. These findings highlight the dynamic and sensory-specific modulation of chunk processing during sensorimotor learning - sensorimotor chunking - and provide evidence that modality-specific mechanisms underlie the hierarchical organization of sequence representations.

摘要

运动序列的感觉运动表现形式是分层组织的。在这里,我们测试不同刺激模式对这些组织的影响。在视觉组中,参与者通过按下响应垫上空间兼容的键来响应视觉呈现的重复序列。在听觉组中,学习者需要响应听觉呈现的刺激,这些刺激与响应键没有直接的空间对应关系:最低音对应最左边的键,最高音对应最右边的键。我们证明,通过实践可以发展出分层和自组织的感觉运动表现形式,这些表现形式既针对个体又针对刺激模式具有特异性。这些发现强调了在感觉运动学习过程中,块处理的动态和感觉特异性调节——感觉运动分块——并提供了证据表明,序列表示的层次组织是基于模态特异性机制的。

https://cdn.ncbi.nlm.nih.gov/pmc/blobs/87d1/3858678/9898235d623a/fpsyg-04-00937-g001.jpg

文献检索

告别复杂PubMed语法,用中文像聊天一样搜索,搜遍4000万医学文献。AI智能推荐,让科研检索更轻松。

立即免费搜索

文件翻译

保留排版,准确专业,支持PDF/Word/PPT等文件格式,支持 12+语言互译。

免费翻译文档

深度研究

AI帮你快速写综述,25分钟生成高质量综述,智能提取关键信息,辅助科研写作。

立即免费体验