• 文献检索
  • 文档翻译
  • 深度研究
  • 学术资讯
  • Suppr Zotero 插件Zotero 插件
  • 邀请有礼
  • 套餐&价格
  • 历史记录
应用&插件
Suppr Zotero 插件Zotero 插件浏览器插件Mac 客户端Windows 客户端微信小程序
定价
高级版会员购买积分包购买API积分包
服务
文献检索文档翻译深度研究API 文档MCP 服务
关于我们
关于 Suppr公司介绍联系我们用户协议隐私条款
关注我们

Suppr 超能文献

核心技术专利:CN118964589B侵权必究
粤ICP备2023148730 号-1Suppr @ 2026

文献检索

告别复杂PubMed语法,用中文像聊天一样搜索,搜遍4000万医学文献。AI智能推荐,让科研检索更轻松。

立即免费搜索

文件翻译

保留排版,准确专业,支持PDF/Word/PPT等文件格式,支持 12+语言互译。

免费翻译文档

深度研究

AI帮你快速写综述,25分钟生成高质量综述,智能提取关键信息,辅助科研写作。

立即免费体验

伊朗大学生中吸烟的流行率:一项系统评价与荟萃分析。

The prevalence of cigarette smoking among students of Iran's universities: A systematic review and meta-analysis.

作者信息

Haghdoost Ali Akbar, Moosazadeh Mahmood

机构信息

Department of Epidemiology, Regional Knowledge Hub for HIV/AIDS Surveillance, WHO Collaborating Center, School of Public Health, Kerman, Iran.

Department of Epidemiology, Research Center for Modeling in Health, Institute for Futures Studies in Health, Kerman University of Medical Sciences, Kerman, Iran.

出版信息

J Res Med Sci. 2013 Aug;18(8):717-25.

PMID:24379851
原文链接:https://pmc.ncbi.nlm.nih.gov/articles/PMC3872614/
Abstract

BACKGROUND

Studentship period is a time when most behavioral traits are being created and fixed; this is a special time when students may start smoking. Thus in the present research, prevalence of smoking in university students in Iran has been evaluated.

MATERIALS AND METHODS

Having extensively explored Iranian and International databases (SID, Iranmedex, Magiran, Medlib, Irandoc, Pubmed, Google Scholar, and WHO) with broad keywords, we looked for relevant papers about the frequency of cigarette smoking among students in Iranian universities in recent years. We recruited only those primary papers with required information and acceptable methodology by reviewing their titles, abstracts, and full-texts. The main data about the prevalence of smoking, age and sex distribution of subjects, sample size, date, and location of studies were extracted from the full-text of eligible papers.

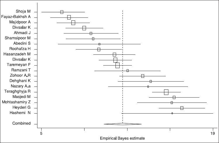
RESULTS

A total of 22 valid articles were selected. Among the findings of these studies, the lowest and highest prevalence of smoking among male students was 13.4 and 39.9, respectively, while it was 0.7 and 25.5%, respectively, among female students. Meta-analysis results reveals that smoking frequency among male and female students in Iran's universities is 19.8% (17.7-21.9) and 2.2% (1.4-3.02), respectively.

CONCLUSION

The variation of smoking in students in different universities shows that the tendency of smoking varies in different locations. Furthermore, compatible with the prevalence of smoking in the general population in Iran, female students smoke much less than male students.

摘要

背景

学生时期是大多数行为特征形成和固定的时期;这是一个学生可能开始吸烟的特殊时期。因此,在本研究中,对伊朗大学生的吸烟率进行了评估。

材料与方法

我们使用广泛的关键词广泛搜索了伊朗和国际数据库(SID、Iranmedex、Magiran、Medlib、Irandoc、Pubmed、谷歌学术和世界卫生组织),寻找近年来伊朗大学生吸烟频率的相关论文。通过审查论文的标题、摘要和全文,我们只招募那些有所需信息且方法可接受的原始论文。从符合条件的论文全文中提取了关于吸烟率、受试者年龄和性别分布、样本量、日期以及研究地点的主要数据。

结果

共选择了22篇有效文章。在这些研究的结果中,男学生吸烟率的最低值和最高值分别为13.4%和39.9%,而女学生的吸烟率分别为0.7%和25.5%。荟萃分析结果显示,伊朗大学男、女学生的吸烟频率分别为19.8%(17.7 - 21.9)和2.2%(1.4 - 3.02)。

结论

不同大学学生吸烟情况的差异表明,吸烟倾向在不同地区有所不同。此外,与伊朗普通人群的吸烟率相符,女学生吸烟比男学生少得多。

https://cdn.ncbi.nlm.nih.gov/pmc/blobs/b96d/3872614/3b83dfc962b2/JRMS-18-717-g005.jpg
https://cdn.ncbi.nlm.nih.gov/pmc/blobs/b96d/3872614/f58f57519b1d/JRMS-18-717-g001.jpg
https://cdn.ncbi.nlm.nih.gov/pmc/blobs/b96d/3872614/914ed3bf71c6/JRMS-18-717-g003.jpg
https://cdn.ncbi.nlm.nih.gov/pmc/blobs/b96d/3872614/e4ea684631eb/JRMS-18-717-g004.jpg
https://cdn.ncbi.nlm.nih.gov/pmc/blobs/b96d/3872614/3b83dfc962b2/JRMS-18-717-g005.jpg
https://cdn.ncbi.nlm.nih.gov/pmc/blobs/b96d/3872614/f58f57519b1d/JRMS-18-717-g001.jpg
https://cdn.ncbi.nlm.nih.gov/pmc/blobs/b96d/3872614/914ed3bf71c6/JRMS-18-717-g003.jpg
https://cdn.ncbi.nlm.nih.gov/pmc/blobs/b96d/3872614/e4ea684631eb/JRMS-18-717-g004.jpg
https://cdn.ncbi.nlm.nih.gov/pmc/blobs/b96d/3872614/3b83dfc962b2/JRMS-18-717-g005.jpg

相似文献

1
The prevalence of cigarette smoking among students of Iran's universities: A systematic review and meta-analysis.伊朗大学生中吸烟的流行率:一项系统评价与荟萃分析。
J Res Med Sci. 2013 Aug;18(8):717-25.
2
Prevalence of cigarette smoking among college students in Iran: An updated systematic review and meta-analysis of observational studies.伊朗大学生吸烟率:观察性研究的最新系统评价与荟萃分析
Med J Islam Repub Iran. 2020 Dec 8;34:165. doi: 10.47176/mjiri.34.165. eCollection 2020.
3
Prevalence of hookah smoking among Iranian pupils and university students: An updated systematic review and meta-analysis.伊朗中小学生和大学生水烟吸烟流行率:一项更新的系统评价和荟萃分析。
Clin Respir J. 2022 Jun;16(6):425-440. doi: 10.1111/crj.13511. Epub 2022 Jun 3.
4
Prevalence of Cigarette Smoking and its Related Factors among Students in Iran: A Meta-Analysis.伊朗学生中吸烟的流行率及其相关因素:一项荟萃分析。
Tanaffos. 2022 Mar;21(3):271-282.
5
Smoking among High School Students in Iran: A Meta-Analysis Study.伊朗高中生吸烟情况:一项荟萃分析研究
Iran J Psychiatry. 2021 Apr;16(2):226-237. doi: 10.18502/ijps.v16i2.5823.
6
The impact of peer pressure on cigarette smoking among high school and university students in Ethiopia: A systemic review and meta-analysis.同伴压力对埃塞俄比亚高中生和大学生吸烟行为的影响:系统评价和荟萃分析。
PLoS One. 2019 Oct 11;14(10):e0222572. doi: 10.1371/journal.pone.0222572. eCollection 2019.
7
Folic acid supplementation and malaria susceptibility and severity among people taking antifolate antimalarial drugs in endemic areas.在流行地区,服用抗叶酸抗疟药物的人群中,叶酸补充剂与疟疾易感性和严重程度的关系。
Cochrane Database Syst Rev. 2022 Feb 1;2(2022):CD014217. doi: 10.1002/14651858.CD014217.
8
Evaluation of the primary healthcare program in Iran: a systematic review.伊朗初级医疗保健项目评估:一项系统综述。
Aust J Prim Health. 2018 Nov;24(5):359-367. doi: 10.1071/PY18008.
9
Prevalence of Internet Addiction Among Iranian University Students: A Systematic Review and Meta-analysis.伊朗大学生网络成瘾的流行率:系统评价和荟萃分析。
Cyberpsychol Behav Soc Netw. 2022 Apr;25(4):213-222. doi: 10.1089/cyber.2021.0120. Epub 2022 Jan 25.
10
The Prevalence of Smoking (Cigarette and Waterpipe) among University Students in Some Arab Countries: A Systematic Review.一些阿拉伯国家大学生中的吸烟(香烟和水烟)流行率:一项系统综述。
Asian Pac J Cancer Prev. 2020 Mar 1;21(3):583-591. doi: 10.31557/APJCP.2020.21.3.583.

引用本文的文献

1
Prevalence of smoking among undergraduate students in the Kingdom of Saudi Arabia: A meta-analysis.沙特阿拉伯王国本科生吸烟率的荟萃分析。
Tob Induc Dis. 2025 Mar 6;23. doi: 10.18332/tid/190797. eCollection 2025.
2
Tobacco Use Patterns Among University Students in Herat, Afghanistan: A Cross-sectional Study.阿富汗赫拉特大学生的烟草使用模式:一项横断面研究。
Addict Health. 2024 Oct;16(4):237-247. doi: 10.34172/ahj.1547. Epub 2024 Oct 29.
3
Prevalence of tobacco smoking and associated factors among adults in Ethiopia: a systematic review and meta-analysis.

本文引用的文献

1
Religious attitude associated with general health and smoking in Iranian students.伊朗学生的宗教态度与总体健康及吸烟情况的关联。
Addict Health. 2010 Winter-Spring;2(1-2):1-7.
2
Prevalence of unwanted pregnancy in Iran: a systematic review and meta-analysis.伊朗意外怀孕的患病率:一项系统评价与荟萃分析。
Int J Health Plann Manage. 2014 Jul-Sep;29(3):e277-90. doi: 10.1002/hpm.2184. Epub 2013 Apr 30.
3
Impact of health belief modification on intention to make smoke free home among pregnant women.健康信念改变对孕妇在家中实现无烟环境意愿的影响。
埃塞俄比亚成年人吸烟流行状况及相关因素:系统评价和荟萃分析。
Front Public Health. 2024 Jul 3;12:1353033. doi: 10.3389/fpubh.2024.1353033. eCollection 2024.
4
Association between illegal drug use and cigarette smoking among Ethiopian students: A systematic review and meta-analysis.**目的**:评估埃塞俄比亚学生中非法药物使用与吸烟之间的关联。 **设计**:系统评价和荟萃分析。 **地点**:无。 **对象**:埃塞俄比亚学生。 **方法**:我们在 PubMed、EMBASE、Scopus 和 Web of Science 中搜索了截至 2023 年 3 月 1 日的相关研究。使用随机效应模型计算汇总比值比 (OR) 和 95%置信区间 (CI) 以评估关联强度。 **结果**:我们共纳入了 21 项研究,涉及 35,017 名学生。分析结果表明,与不吸烟者相比,吸烟者更有可能使用非法药物(OR=1.65,95%CI:1.34-2.04)。此外,在进行亚组分析时,我们发现这种关联在男生(OR=1.56,95%CI:1.18-2.07)和高中生(OR=1.76,95%CI:1.28-2.42)中更为明显。 **结论**:我们的研究结果表明,吸烟与非法药物使用之间存在关联。因此,应该加强对学生的健康教育,以减少吸烟和非法药物使用的发生率。
PLoS One. 2024 Jun 20;19(6):e0304948. doi: 10.1371/journal.pone.0304948. eCollection 2024.
5
National and Provincial Prevalence of Cigarette Smoking in Iran; A Systematic Analysis of 12 Years of STEPS Experience.伊朗全国和省级的吸烟流行率:12 年 STEPS 经验的系统分析。
Arch Iran Med. 2023 Sep 1;26(9):472-480. doi: 10.34172/aim.2023.72.
6
Prevalence of Cigarette Smoking and its Related Factors among Students in Iran: A Meta-Analysis.伊朗学生中吸烟的流行率及其相关因素:一项荟萃分析。
Tanaffos. 2022 Mar;21(3):271-282.
7
Risk-Taking Behaviors Considering Internet Gaming Disorder among Iranian University Students: A Latent Class Analysis.考虑到伊朗大学生网络游戏障碍的风险行为:潜在类别分析。
J Res Health Sci. 2022 Oct 19;22(3):e00556. doi: 10.34172/jrhs.2022.91.
8
Magnitude of Substance Use and Its Associated Factors Among the Medical Students in India and Implications for Medical Education: A Narrative Review.印度医学生物质使用情况及其相关因素的严重程度及其对医学教育的影响:一项叙述性综述
Indian J Psychol Med. 2022 May;44(3):218-226. doi: 10.1177/02537176211032366. Epub 2021 Aug 31.
9
Exploration factors on smoking among female adolescents based on the viewpoints of Iranian adolescent girls.基于伊朗少女观点的女性青少年吸烟因素探讨。
BMC Womens Health. 2022 Jun 1;22(1):203. doi: 10.1186/s12905-022-01791-1.
10
Current Substances Use Among Students in Ethiopia: A Systematic Review and Meta-Analysis of 20-Years Evidence.埃塞俄比亚学生当前的物质使用情况:对20年证据的系统评价和荟萃分析
Subst Abuse. 2021 Oct 13;15:11782218211050352. doi: 10.1177/11782218211050352. eCollection 2021.
J Res Med Sci. 2011 Jun;16(6):724-32.
4
Smoking among male medical sciences students in Semnan, Islamic Republic of Iran.伊朗伊斯兰共和国塞姆南省男医学生的吸烟状况。
East Mediterr Health J. 2010 Feb;16(2):156-61.
5
Perceived factors related to cigarette and waterpipe (ghelyan) initiation and maintenance in university students of Iran.伊朗大学生对香烟和水烟(ghelyan)开始使用和持续使用的相关感知因素。
Int J Public Health. 2011 Apr;56(2):175-80. doi: 10.1007/s00038-009-0107-x. Epub 2009 Dec 18.
6
Prevalence of and factors associated with cigarette smoking among university students: a study from Iran.大学生吸烟的流行率及相关因素:来自伊朗的一项研究。
Asia Pac J Public Health. 2011 Apr;23(2):151-6. doi: 10.1177/1010539509338730. Epub 2009 Jul 2.
7
Smoking habits among university students in Jordan: prevalence and associated factors.约旦大学生的吸烟习惯:患病率及相关因素。
East Mediterr Health J. 2008 Jul-Aug;14(4):897-904.
8
Cigarettes and waterpipe smoking among medical students in Syria: a cross-sectional study.叙利亚医科学生中的香烟和水烟吸食情况:一项横断面研究。
Int J Tuberc Lung Dis. 2008 Sep;12(9):1085-91.
9
Tobacco smoking and acute myocardial infarction in young adults: a population-based case-control study.年轻人吸烟与急性心肌梗死:一项基于人群的病例对照研究。
Prev Med. 2007 Apr;44(4):311-6. doi: 10.1016/j.ypmed.2006.12.002. Epub 2007 Jan 17.
10
Projections of global mortality and burden of disease from 2002 to 2030.2002年至2030年全球死亡率及疾病负担预测。
PLoS Med. 2006 Nov;3(11):e442. doi: 10.1371/journal.pmed.0030442.