Suppr超能文献

开发一种基于多重珠体悬浮阵列的方法,用于检测和区分弹状病毒科植物病原体。

Development of a multiplexed bead-based suspension array for the detection and discrimination of pospiviroid plant pathogens.

机构信息

Plant Biosecurity Cooperative Research Centre, Bruce, Australian Capital Territory, Australia ; School of Agriculture and Food Sciences, The University of Queensland, St Lucia, Queensland, Australia.

Plant Research International, Wageningen University and Research Centre, Wageningen, The Netherlands.

出版信息

PLoS One. 2014 Jan 3;9(1):e84743. doi: 10.1371/journal.pone.0084743. eCollection 2014.

Abstract

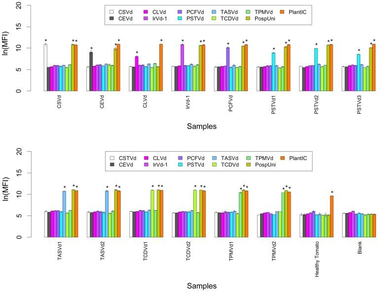
Efficient and reliable diagnostic tools for the routine indexing and certification of clean propagating material are essential for the management of pospiviroid diseases in horticultural crops. This study describes the development of a true multiplexed diagnostic method for the detection and identification of all nine currently recognized pospiviroid species in one assay using Luminex bead-based suspension array technology. In addition, a new data-driven, statistical method is presented for establishing thresholds for positivity for individual assays within multiplexed arrays. When applied to the multiplexed array data generated in this study, the new method was shown to have better control of false positives and false negative results than two other commonly used approaches for setting thresholds. The 11-plex Luminex MagPlex-TAG pospiviroid array described here has a unique hierarchical assay design, incorporating a near-universal assay in addition to nine species-specific assays, and a co-amplified plant internal control assay for quality assurance purposes. All assays of the multiplexed array were shown to be 100% specific, sensitive and reproducible. The multiplexed array described herein is robust, easy to use, displays unambiguous results and has strong potential for use in routine pospiviroid indexing to improve disease management strategies.

摘要

用于常规索引和清洁繁殖材料认证的高效可靠的诊断工具对于园艺作物中杆状病毒病害的管理至关重要。本研究描述了一种真正的多重诊断方法的开发,该方法使用基于 Luminex 珠的悬浮阵列技术在一次测定中检测和鉴定所有目前公认的 9 种杆状病毒。此外,还提出了一种新的数据驱动的、统计方法,用于为多重阵列内的各个测定建立阳性界限。当应用于本研究中生成的多重阵列数据时,新方法显示出比两种其他常用的设置界限方法更好地控制假阳性和假阴性结果。这里描述的 11 重 Luminex MagPlex-TAG 杆状病毒阵列具有独特的层次测定设计,除了 9 种种特异性测定外,还包含一个近乎通用的测定,以及一个共同扩增的植物内部对照测定,用于质量保证目的。多重阵列的所有测定均显示出 100%的特异性、敏感性和重现性。本文所述的多重阵列稳健、易于使用、显示出明确的结果,并且具有在常规杆状病毒索引中提高疾病管理策略的强大潜力。

https://cdn.ncbi.nlm.nih.gov/pmc/blobs/8e08/3880322/8cfc4639f4d7/pone.0084743.g001.jpg

文献AI研究员

20分钟写一篇综述,助力文献阅读效率提升50倍。

立即体验

用中文搜PubMed

大模型驱动的PubMed中文搜索引擎

马上搜索

文档翻译

学术文献翻译模型,支持多种主流文档格式。

立即体验