Suppr超能文献

两种羟乙基淀粉制剂对健康马匹的心血管、胶体渗透压及止血作用

Cardiovascular, colloid osmotic pressure, and hemostatic effects of 2 formulations of hydroxyethyl starch in healthy horses.

作者信息

Epstein K L, Bergren A, Giguère S, Brainard B M

机构信息

Department of Large Animal Medicine, College of Veterinary Medicine, University of Georgia, Athens, GA.

出版信息

J Vet Intern Med. 2014 Jan-Feb;28(1):223-33. doi: 10.1111/jvim.12245. Epub 2013 Nov 13.

Abstract

BACKGROUND

Lower molecular weight and molar substitution formulations of hydroxyethyl starch (HES) solutions might maximize cardiovascular function and colloid osmotic pressure (COP) and minimize adverse effects on coagulation.

HYPOTHESIS/OBJECTIVES: To compare effects of 1 low and 1 high molecular weight and molar substitution HES solution on cardiovascular variables, COP, and hemostasis in normal horses.

ANIMALS

Eight healthy adult horses.

METHODS

Randomized, crossover designed study: 10 mL/kg bolus of 6% HES (600/0.75) (hetastarch) (HS), 6% HES (130/0.4) tetrastarch (TS), and 0.9% NaCl (NS). Variables recorded included central venous pressure (CVP), noninvasive arterial blood pressure, packed cell volume (PCV), COP, and automated platelet analysis (CT).

RESULTS

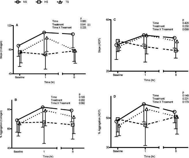
Central venous pressure was increased for 8 hours after all treatment (baseline = 8.4 ± 3.8; 8 hours = 10.3 ± 3.5 cm H2 O; P < .001). HS and TS produced an increase in systolic arterial pressure (HS = 109.1 ± 11.9; TS = 109.5 ± 10.9 mmHg) and mean arterial pressure (HS = 80.4 ± 13.0; TS = 82.3 ± 10.1 mmHg) compared to NS (SAP = 103.2 ± 13.2 [P = .023]; MAP = 74.2 ± 11.4 mmHg [P = .048]). PCV decreased transiently with HS (baseline = 37.1 ± 4.4%; 1.5 hours = 31.6 ± 3.9%) and TS (baseline = 38.4 ± 3.9%; 1.5 hours = 32.2 ± 3.3%), but not NS (P = .007). COP was greater with HS (1 hour; 24.0 ± 2.1 mmHg) and TS (8 hours; 25.9 ± 2.1 mmHg) than NS (1 hour = 20.8 ± 2.6; 8 hours = 22.9 ± 3.1 mmHg; P < .001). CT was greater at 8 (HS = 178.6 ± 36.9; TS = 121.9 ± 33.3; NS = 108.3 ± 23.6 seconds) and 24 hours (HS = 174.2 ± 41.7; TS = 100.8 ± 26.0; NS = 118.7 ± 38.7 seconds; P < .001) in horses receiving HS than TS or NS.

CONCLUSION AND CLINICAL IMPORTANCE

Both TS and HS resulted in more effective volume expansion and arterial pressure support than NS. TS produced a more sustained effect on COP with shorter duration of adverse effects on platelet function than HS.

摘要

背景

低分子量和低摩尔取代度的羟乙基淀粉(HES)溶液配方可能使心血管功能和胶体渗透压(COP)最大化,并将对凝血的不良反应降至最低。

假设/目的:比较1种低分子量和低摩尔取代度HES溶液与1种高分子量和低摩尔取代度HES溶液对正常马匹心血管变量、COP和止血的影响。

动物

8匹健康成年马。

方法

随机交叉设计研究:静脉推注10 mL/kg的6% HES(600/0.75)(贺斯)(HS)、6% HES(130/0.4)四淀粉(TS)和0.9%氯化钠(NS)。记录的变量包括中心静脉压(CVP)、无创动脉血压、血细胞比容(PCV)、COP和自动血小板分析(CT)。

结果

所有治疗后中心静脉压均升高8小时(基线=8.4±3.8;8小时=10.3±3.5 cm H2O;P<.001)。与NS相比,HS和TS使收缩压(HS=109.1±11.9;TS=109.5±10.9 mmHg)和平均动脉压(HS=80.4±13.0;TS=82.3±10.1 mmHg)升高(收缩压=103.2±13.2[P=.023];平均动脉压=74.2±11.4 mmHg[P=.048])。HS(基线=37.1±4.4%;1.5小时=31.6±3.9%)和TS(基线=38.4±3.9%;1.5小时=32.2±3.3%)使PCV短暂降低,但NS未使PCV降低(P=.007)。HS(1小时;24.0±2.1 mmHg)和TS(8小时;25.9±2.1 mmHg)的COP高于NS(1小时=20.8±2.6;8小时=22.9±3.1 mmHg;P<.OO1)。接受HS的马匹在8小时(HS=178.6±36.9;TS=121.9±33.3;NS=108.3±23.6秒)和24小时(HS=174.2±41.7;TS=100.8±26.0;NS=118.7±38.7秒;P<.001)时的CT高于接受TS或NS的马匹。

结论及临床意义

TS和HS在扩容和支持动脉压方面均比NS更有效。与HS相比,TS对COP的作用更持久,对血小板功能的不良反应持续时间更短。

https://cdn.ncbi.nlm.nih.gov/pmc/blobs/b3a7/4895541/6033b1327595/JVIM-28-223-g002.jpg

文献AI研究员

20分钟写一篇综述,助力文献阅读效率提升50倍。

立即体验

用中文搜PubMed

大模型驱动的PubMed中文搜索引擎

马上搜索

文档翻译

学术文献翻译模型,支持多种主流文档格式。

立即体验