Wildlife, Fish, and Conservation Biology Department, University of California Davis, Davis, California, United States of America.
Department of Civil and Environmental Engineering, University of California Davis, Davis, California, United States of America.
PLoS One. 2014 Jan 15;9(1):e86321. doi: 10.1371/journal.pone.0086321. eCollection 2014.
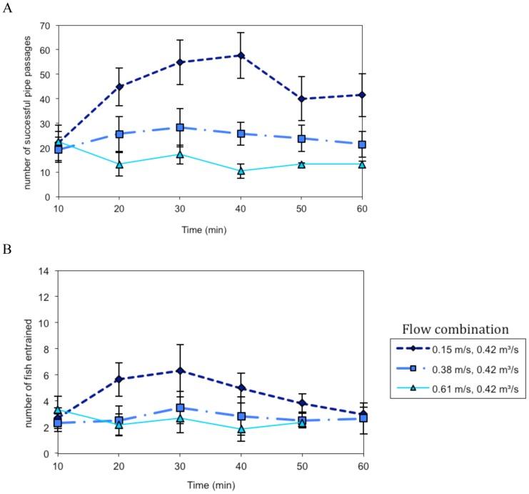
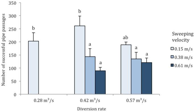
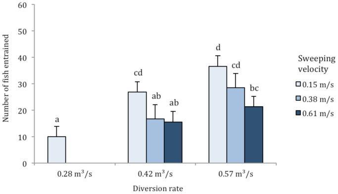
Over 3,300 unscreened agricultural water diversion pipes line the levees and riverbanks of the Sacramento River (California) watershed, where the threatened Southern Distinct Population Segment of green sturgeon, Acipenser medirostris, spawn. The number of sturgeon drawn into (entrained) and killed by these pipes is greatly unknown. We examined avoidance behaviors and entrainment susceptibility of juvenile green sturgeon (35±0.6 cm mean fork length) to entrainment in a large (>500-kl) outdoor flume with a 0.46-m-diameter water-diversion pipe. Fish entrainment was generally high (range: 26-61%), likely due to a lack of avoidance behavior prior to entering inescapable inflow conditions. We estimated that up to 52% of green sturgeon could be entrained after passing within 1.5 m of an active water-diversion pipe three times. These data suggest that green sturgeon are vulnerable to unscreened water-diversion pipes, and that additional research is needed to determine the potential impacts of entrainment mortality on declining sturgeon populations. Data under various hydraulic conditions also suggest that entrainment-related mortality could be decreased by extracting water at lower diversion rates over longer periods of time, balancing agricultural needs with green sturgeon conservation.
超过 3300 根未经筛选的农业引水管道排列在萨克拉门托河(加利福尼亚州)流域的堤坝和河岸上,那里是受威胁的南方绿鳍鱼独特种群的产卵地。有多少鲟鱼被这些管道吸入(卷入)并杀死,这是一个未知数。我们研究了幼体绿鳍鱼(平均叉长 35±0.6 厘米)在一个大型(>500-kl)户外水槽中对卷入的回避行为和易感性,该水槽有一个 0.46 米直径的引水管道。鱼的卷入率通常很高(范围:26-61%),可能是由于在进入不可避免的入流条件之前缺乏回避行为。我们估计,在三次经过活动引水管道 1.5 米范围内后,多达 52%的绿鳍鱼可能会被卷入。这些数据表明,绿鳍鱼容易受到未筛选的引水管道的影响,需要进一步研究以确定卷入死亡率对下降的鲟鱼种群的潜在影响。在各种水力条件下的数据还表明,通过在更长的时间内以较低的引水率抽取水,可以减少与卷入相关的死亡率,平衡农业需求和绿鳍鱼保护。