Suppr超能文献

中国汉族女性的教育程度、职业、社会阶层与重度抑郁症之间的关联。

Associations of educational attainment, occupation, social class and major depressive disorder among Han Chinese women.

作者信息

Shi Jianguo, Zhang Yan, Liu Feihu, Li Yajuan, Wang Junhui, Flint Jonathan, Gao Jingfang, Li Youhui, Tao Ming, Zhang Kerang, Wang Xumei, Gao Chengge, Yang Lijun, Li Kan, Shi Shenxun, Wang Gang, Liu Lanfen, Zhang Jinbei, Du Bo, Jiang Guoqing, Shen Jianhua, Zhang Zhen, Liang Wei, Sun Jing, Hu Jian, Liu Tiebang, Wang Xueyi, Miao Guodong, Meng Huaqing, Li Yi, Hu Chunmei, Li Yi, Huang Guoping, Li Gongying, Ha Baowei, Deng Hong, Mei Qiyi, Zhong Hui, Gao Shugui, Sang Hong, Zhang Yutang, Fang Xiang, Yu Fengyu, Yang Donglin, Liu Tieqiao, Chen Yunchun, Hong Xiaohong, Wu Wenyuan, Chen Guibing, Cai Min, Song Yan, Pan Jiyang, Dong Jicheng, Pan Runde, Zhang Wei, Shen Zhenming, Liu Zhengrong, Gu Danhua, Wang Xiaoping, Liu Xiaojuan, Zhang Qiwen, Li Yihan, Chen Yiping, Kendler Kenneth S

机构信息

Xian Mental Health Center, New Qujiang District, Xian, Shaanxi, People's Republic of China ; The Affiliated Mental Health Institute of Xi'an School of Medicine, Xian, Shaanxi, People's Republic of China.

Wellcome Trust Centre for Human Genetics, Oxford, United Kindgom.

出版信息

PLoS One. 2014 Jan 31;9(1):e86674. doi: 10.1371/journal.pone.0086674. eCollection 2014.

Abstract

BACKGROUND

The prevalence of major depressive disorder (MDD) is higher in those with low levels of educational attainment, the unemployed and those with low social status. However the extent to which these factors cause MDD is unclear. Most of the available data comes from studies in developed countries, and these findings may not extrapolate to developing countries. Examining the relationship between MDD and socio economic status in China is likely to add to the debate because of the radical economic and social changes occurring in China over the last 30 years.

PRINCIPAL FINDINGS

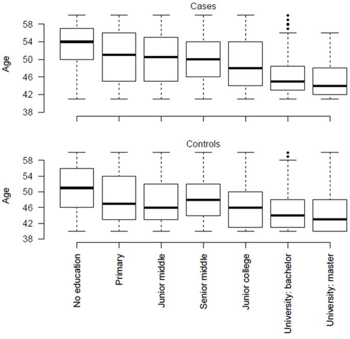
We report results from 3,639 Chinese women with recurrent MDD and 3,800 controls. Highly significant odds ratios (ORs) were observed between MDD and full time employment (OR = 0.36, 95% CI = 0.25-0.46, logP = 78), social status (OR = 0.83, 95% CI = 0.77-0.87, logP = 13.3) and education attainment (OR = 0.90, 95% CI = 0.86-0.90, logP = 6.8). We found a monotonic relationship between increasing age and increasing levels of educational attainment. Those with only primary school education have significantly more episodes of MDD (mean 6.5, P-value = 0.009) and have a clinically more severe disorder, while those with higher educational attainment are likely to manifest more comorbid anxiety disorders.

CONCLUSIONS

In China lower socioeconomic position is associated with increased rates of MDD, as it is elsewhere in the world. Significantly more episodes of MDD occur among those with lower educational attainment (rather than longer episodes of disease), consistent with the hypothesis that the lower socioeconomic position increases the likelihood of developing MDD. The phenomenology of MDD varies according to the degree of educational attainment: higher educational attainment not only appears to protect against MDD but alters its presentation, to a more anxious phenotype.

摘要

背景

在受教育程度低、失业者以及社会地位低的人群中,重度抑郁症(MDD)的患病率更高。然而,这些因素导致MDD的程度尚不清楚。大多数现有数据来自发达国家的研究,而这些研究结果可能无法推断至发展中国家。鉴于中国在过去30年中发生了激进的经济和社会变革,研究中国MDD与社会经济地位之间的关系可能会引发更多讨论。

主要发现

我们报告了3639名复发性MDD中国女性和3800名对照的研究结果。在MDD与全职工作(比值比[OR]=0.36,95%置信区间[CI]=0.25-0.46,对数P=78)、社会地位(OR=0.83,95%CI=0.77-0.87,对数P=13.3)以及教育程度(OR=0.90,95%CI=0.86-0.90,对数P=6.8)之间观察到了高度显著的比值比。我们发现年龄增长与教育程度提高之间存在单调关系。仅接受小学教育的人群MDD发作次数显著更多(平均6.5次,P值=0.009),且临床症状更严重,而教育程度较高的人群更可能表现出更多共病焦虑症。

结论

在中国,社会经济地位较低与MDD发病率增加有关,世界其他地区也是如此。受教育程度较低的人群中MDD发作次数显著更多(而非病程更长),这与社会经济地位较低会增加患MDD可能性的假设一致。MDD的现象学根据教育程度不同而有所变化:较高的教育程度不仅似乎能预防MDD,还会改变其表现形式,使其呈现出更焦虑的表型。

https://cdn.ncbi.nlm.nih.gov/pmc/blobs/4645/3909008/6b3c931c16b3/pone.0086674.g001.jpg

文献AI研究员

20分钟写一篇综述,助力文献阅读效率提升50倍。

立即体验

用中文搜PubMed

大模型驱动的PubMed中文搜索引擎

马上搜索

文档翻译

学术文献翻译模型,支持多种主流文档格式。

立即体验