Zhang Li, Yin Ji-Kai, Duan Yun-You, Liu Xi, Xu Lei, Wang Jia, Yang Yi-Lin, Yuan Li-Jun, Cao Tie-Sheng
Department of Ultrasound Diagnosis, Tangdu Hospital, Fourth Military Medical University, Xi'an, China.
Cardiovasc Diabetol. 2014 Feb 10;13:39. doi: 10.1186/1475-2840-13-39.
Type 2 diabetes is one of the most common causes of cardiovascular disease as it causes arterial stiffness changes. The purpose of this study is to characterize, in vivo, carotid arterial structural and functional changes by applying radio frequency and X-strain ultrasound techniques.
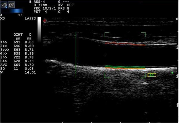
Ninety-one subjects were assigned into two groups; a diabetes group and a control group. Structural and functional changes in the common carotid arterial wall were investigated by quality intima-media thickness (QIMT), quality arterial stiffness (QAS), and X-strain analysis with a Mylab Twice ultrasound instrument. The relationships among variables between the two groups were analyzed in this study.
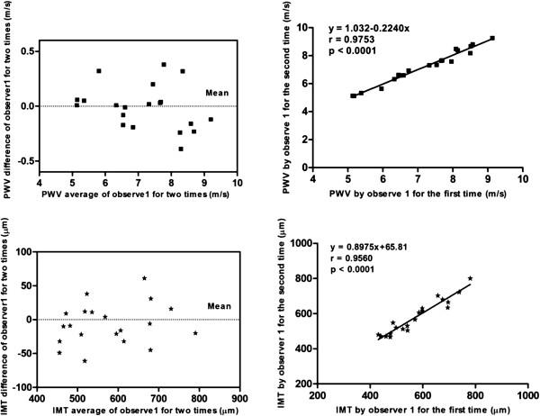
There was no significant difference in carotid IMT (626.5 ± 169.1 μm vs. 568.5 ± 122.6 μm, P = 0.1506) between two groups. Pulse wave velocity (PWV) and stiffness index (β) were remarkably greater (8.388 ± 3.254 m/s vs. 7.269 ± 1.332 m/s; 12.51 ± 14.16 vs.9.279 ± 2.871), while compliance coefficient (CC) decreased significantly in the diabetes group (0.802 ± 0.3094 mm2/Kpa vs. 0.968 ± 0.3992 mm2/Kpa) (P < 0.05). The displacement difference of radial (RD-D), longitudinal (LD-D) and rotation (ROT-D) directions were significantly different between two groups' comparison (P = 0.0212, P = 0.0235 and P = 0.0072, respectively). The time of circumferential peak strain difference (CS-DT) and the time of radial peak strain rate (RSR-T) were found to be significantly different between the two groups (341.9 ± 77.56 ms vs. 369.0 ± 78.26 ms, P = 0.0494; 142.7 ± 22.43 ms vs. 136.2 ± 30.70 ms, P = 0.0474). CS-TD and RSR-T were also found to be positively correlated with CC value (r = 0.3908, P < 0.005 and r = 0.3027, P = 0.0326, respectively). Finally, PWV was negatively correlated with CC with (r = -0.6177, P < 0.001).
In type 2 diabetes, the functional changes in CCA can be identified using the methods presented in this article earlier than the structural changes. Arterial stiffness values provided by QAS and X-strain analysis can be used as indicators of CCA functional lesions in patients with type 2 diabetes.
2型糖尿病是心血管疾病最常见的病因之一,因为它会引起动脉僵硬度改变。本研究的目的是通过应用射频和X应变超声技术在体内表征颈动脉的结构和功能变化。
91名受试者被分为两组;糖尿病组和对照组。使用迈瑞Resona 7超声诊断仪通过定量内膜中层厚度(QIMT)、定量动脉僵硬度(QAS)和X应变分析来研究颈总动脉壁的结构和功能变化。本研究分析了两组之间变量的关系。
两组之间的颈动脉内膜中层厚度无显著差异(626.5±169.1μm对568.5±122.6μm,P = 0.1506)。糖尿病组的脉搏波速度(PWV)和僵硬度指数(β)显著更高(8.388±3.254m/s对7.269±1.332m/s;12.51±14.16对9.279±2.871),而顺应性系数(CC)显著降低(0.802±0.3094mm²/Kpa对0.968±0.3992mm²/Kpa)(P < 0.05)。两组比较时,径向(RD-D)、纵向(LD-D)和旋转(ROT-D)方向的位移差异显著(分别为P = 0.0212、P = 0.0235和P = 0.0072)。发现两组之间的圆周峰值应变差时间(CS-DT)和径向峰值应变率时间(RSR-T)显著不同(341.9±77.56ms对369.0±78.26ms,P = 0.0494;142.7±22.43ms对136.2±30.70ms,P = 0.0474)。还发现CS-TD和RSR-T与CC值呈正相关(分别为r = 0.3908,P <0.005和r = 0.3027,P = 0.0326)。最后,PWV与CC呈负相关(r = -0.6177,P <0.001)。
在2型糖尿病中,使用本文介绍的方法可以比结构变化更早地识别颈总动脉的功能变化。QAS和X应变分析提供的动脉僵硬度值可作为2型糖尿病患者颈总动脉功能损害的指标。