• 文献检索
  • 文档翻译
  • 深度研究
  • 学术资讯
  • Suppr Zotero 插件Zotero 插件
  • 邀请有礼
  • 套餐&价格
  • 历史记录
应用&插件
Suppr Zotero 插件Zotero 插件浏览器插件Mac 客户端Windows 客户端微信小程序
定价
高级版会员购买积分包购买API积分包
服务
文献检索文档翻译深度研究API 文档MCP 服务
关于我们
关于 Suppr公司介绍联系我们用户协议隐私条款
关注我们

Suppr 超能文献

核心技术专利:CN118964589B侵权必究
粤ICP备2023148730 号-1Suppr @ 2026

文献检索

告别复杂PubMed语法,用中文像聊天一样搜索,搜遍4000万医学文献。AI智能推荐,让科研检索更轻松。

立即免费搜索

文件翻译

保留排版,准确专业,支持PDF/Word/PPT等文件格式,支持 12+语言互译。

免费翻译文档

深度研究

AI帮你快速写综述,25分钟生成高质量综述,智能提取关键信息,辅助科研写作。

立即免费体验

2005 - 2012年加拿大处方阿片类镇痛药配药的趋势与变化:聚焦近期干预措施的最新情况

Trends and changes in prescription opioid analgesic dispensing in Canada 2005-2012: an update with a focus on recent interventions.

作者信息

Fischer Benedikt, Jones Wayne, Rehm Jürgen

机构信息

Centre for Applied Research in Mental Health and Addiction (CARMHA), Faculty of Health Sciences, Simon Fraser University, Vancouver, Canada.

出版信息

BMC Health Serv Res. 2014 Feb 26;14:90. doi: 10.1186/1472-6963-14-90.

DOI:10.1186/1472-6963-14-90
PMID:24572005
原文链接:https://pmc.ncbi.nlm.nih.gov/articles/PMC3941687/
Abstract

BACKGROUND

Prescription opioid analgesic (POA) utilization has steeply increased globally, yet is far higher in established market economies than elsewhere. Canada features the world's second-highest POA consumption rates. Following increases in POA-related harm, several POA control interventions have been implemented since 2010.

METHODS

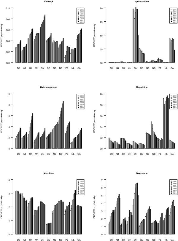
We examined trends and patterns in POA dispensing in Canada by province for 2005-2012, including a focus on the potential effects of interventions. Data on annual dispensing of individual POA formulations--categorized into 'weak opioids' and 'strong opioids'--from a representative sub-sample of 5,700 retail pharmacies across Canada (from IMS Brogan's Compuscript) were converted into Defined Daily Doses (DDD), and examined intra- and inter-provincially as well as for Canada (total).

RESULTS

Total POA dispensing--driven by strong opioids--increased across Canada until 2011; four provinces indicated decreases in strong opioid dispensing; seven provinces indicated decreases specifically in oxycodone dispensing, 2011-2012. The dispensing ratio weak/strong opioids decreased substantively. Major inter-provincial differences in POA dispensing levels and qualitative patterns of POA formulations dispensed persisted. Previous increasing trends in POA dispensing were reversed in select provinces 2011-2012, coinciding with POA-related interventions.

CONCLUSIONS

Further examinations regarding the sustained nature, drivers and consequences of the recent trend changes in POA dispensing--including possible 'substitution effects' for oxycodone reductions--are needed.

摘要

背景

处方阿片类镇痛药(POA)的使用在全球范围内急剧增加,但在发达市场经济体中的使用率远高于其他地区。加拿大的POA消费率位居世界第二。自2010年以来,随着与POA相关的危害增加,已实施了多项POA控制干预措施。

方法

我们研究了2005 - 2012年加拿大各省POA配药的趋势和模式,重点关注干预措施的潜在影响。从加拿大5700家零售药店的代表性子样本(来自IMS Brogan的Compuscript)中获取的关于个体POA制剂年度配药的数据 - 分为“弱阿片类药物”和“强阿片类药物” - 被转换为限定日剂量(DDD),并在省内和省际以及加拿大(总计)范围内进行了研究。

结果

在2011年之前,加拿大的POA总配药量(由强阿片类药物推动)一直在增加;四个省份的强阿片类药物配药量有所下降;七个省份在2011 - 2012年期间,羟考酮配药量尤其下降。弱/强阿片类药物的配药比例大幅下降。POA配药水平和所配POA制剂的定性模式在省际之间仍存在重大差异。2011 - 2012年,部分省份之前的POA配药增长趋势发生逆转,这与POA相关干预措施同时出现。

结论

需要进一步研究POA配药近期趋势变化的持续性、驱动因素和后果 - 包括羟考酮减少可能产生的“替代效应”。

https://cdn.ncbi.nlm.nih.gov/pmc/blobs/b7a8/3941687/9ed39b748c17/1472-6963-14-90-2.jpg
https://cdn.ncbi.nlm.nih.gov/pmc/blobs/b7a8/3941687/5aafdbcf5d76/1472-6963-14-90-1.jpg
https://cdn.ncbi.nlm.nih.gov/pmc/blobs/b7a8/3941687/9ed39b748c17/1472-6963-14-90-2.jpg
https://cdn.ncbi.nlm.nih.gov/pmc/blobs/b7a8/3941687/5aafdbcf5d76/1472-6963-14-90-1.jpg
https://cdn.ncbi.nlm.nih.gov/pmc/blobs/b7a8/3941687/9ed39b748c17/1472-6963-14-90-2.jpg

相似文献

1
Trends and changes in prescription opioid analgesic dispensing in Canada 2005-2012: an update with a focus on recent interventions.2005 - 2012年加拿大处方阿片类镇痛药配药的趋势与变化:聚焦近期干预措施的最新情况
BMC Health Serv Res. 2014 Feb 26;14:90. doi: 10.1186/1472-6963-14-90.
2
Patterns, Changes, and Trends in Prescription Opioid Dispensing in Canada, 2005-2016.2005-2016 年加拿大处方类阿片配药的模式、变化和趋势。
Pain Physician. 2018 May;21(3):219-228.
3
Correlations between prescription opioid analgesic dispensing levels and related mortality and morbidity in Ontario, Canada, 2005-2011.2005-2011 年加拿大安大略省处方类阿片类镇痛药配给水平与相关死亡率和发病率的相关性。
Drug Alcohol Rev. 2014 Jan;33(1):19-26. doi: 10.1111/dar.12089. Epub 2013 Nov 21.
4
Tramadol dispensing patterns and trends in Canada, 2007-2016.2007-2016 年加拿大曲马多的配药模式和趋势。
Pharmacoepidemiol Drug Saf. 2019 Mar;28(3):396-400. doi: 10.1002/pds.4679. Epub 2018 Dec 12.
5
Differences and over-time changes in levels of prescription opioid analgesic dispensing from retail pharmacies in Canada, 2005-2010.2005-2010 年加拿大零售药店处方类阿片类镇痛药配给量的差异和随时间的变化。
Pharmacoepidemiol Drug Saf. 2011 Dec;20(12):1269-77. doi: 10.1002/pds.2190. Epub 2011 Jul 13.
6
Patterns, trends and determinants of medical opioid utilization in Canada 2005-2020: characterizing an era of intensive rise and fall.2005-2020 年加拿大医用阿片类药物使用的模式、趋势和决定因素:描绘一个密集上升和下降的时代。
Subst Abuse Treat Prev Policy. 2021 Sep 14;16(1):65. doi: 10.1186/s13011-021-00396-5.
7
Correlations between opioid mortality increases related to illicit/synthetic opioids and reductions of medical opioid dispensing - exploratory analyses from Canada.与非法/合成阿片类药物相关的阿片类药物死亡率增加与医疗用阿片类药物配给减少之间的相关性——来自加拿大的探索性分析。
BMC Public Health. 2020 Jan 31;20(1):143. doi: 10.1186/s12889-020-8205-z.
8
Trends and uptake of new formulations of controlled-release oxycodone in Canada.加拿大缓释羟考酮新剂型的趋势与使用情况
Pharmacoepidemiol Drug Saf. 2018 May;27(5):520-525. doi: 10.1002/pds.4390. Epub 2018 Jan 23.
9
Correlations between population-levels of prescription opioid dispensing and related deaths in Ontario (Canada), 2005-2016.安大略省(加拿大) 2005-2016 年处方类阿片类药物配药量与相关死亡人数的相关性。
Prev Med. 2018 Nov;116:112-118. doi: 10.1016/j.ypmed.2018.09.001. Epub 2018 Sep 11.
10
Trends in dispensing of individual prescription opioid formulations, Canada 2005-2020.2005 - 2020年加拿大个人处方阿片类药物制剂的配药趋势。
J Pharm Policy Pract. 2022 Mar 29;15(1):27. doi: 10.1186/s40545-022-00423-1.

引用本文的文献

1
Time trends and patterns in opioid prescription use following orthopaedic surgery in Ontario, Canada, from 2004/2005 to 2017/2018: a population-based study.加拿大安大略省 2004/2005 年至 2017/2018 年骨科手术后阿片类药物处方使用的时间趋势和模式:一项基于人群的研究。
BMJ Open. 2023 Nov 14;13(11):e074423. doi: 10.1136/bmjopen-2023-074423.
2
The effect of preferred music versus disliked music on pain thresholds in healthy volunteers. An observational study.偏好音乐与不喜欢音乐对健康志愿者疼痛阈值的影响。一项观察性研究。
PLoS One. 2023 Jan 17;18(1):e0280036. doi: 10.1371/journal.pone.0280036. eCollection 2023.
3
Elective surgery in ankle and foot disorders-best practices for management of pain: a guideline for clinicians.

本文引用的文献

1
Non-medical use of prescription opioids and prescription opioid-related harms: why so markedly higher in North America compared to the rest of the world?处方阿片类药物的非医疗使用及与处方阿片类药物相关的危害:为何在北美比世界其他地区明显更高?
Addiction. 2014 Feb;109(2):177-81. doi: 10.1111/add.12224. Epub 2013 May 20.
2
Characteristics of opioid-users whose death was related to opioid-toxicity: a population-based study in Ontario, Canada.与阿片类药物毒性相关的阿片类药物使用者的特征:加拿大安大略省的一项基于人群的研究。
PLoS One. 2013;8(4):e60600. doi: 10.1371/journal.pone.0060600. Epub 2013 Apr 5.
3
Reductions in non-medical prescription opioid use among adults in Ontario, Canada: are recent policy interventions working?
踝关节和足部疾病的选择性手术——疼痛管理的最佳实践:临床医生指南。
Can J Anaesth. 2022 Aug;69(8):1053-1067. doi: 10.1007/s12630-022-02267-4. Epub 2022 May 17.
4
Trends in dispensing of individual prescription opioid formulations, Canada 2005-2020.2005 - 2020年加拿大个人处方阿片类药物制剂的配药趋势。
J Pharm Policy Pract. 2022 Mar 29;15(1):27. doi: 10.1186/s40545-022-00423-1.
5
General practitioners' attitudes towards opioids for non-cancer pain: a qualitative systematic review.全科医生对非癌性疼痛使用阿片类药物的态度:一项定性系统评价。
BMJ Open. 2022 Feb 1;12(2):e054945. doi: 10.1136/bmjopen-2021-054945.
6
Dose-response relationship between functional pain interference and nonmedical analgesic use: Findings from a nationally representative Canadian survey.功能性疼痛干扰与非医疗性镇痛药使用之间的剂量反应关系:来自加拿大一项全国代表性调查的结果。
Can J Pain. 2018 Apr 12;2(1):103-112. doi: 10.1080/24740527.2018.1452147. eCollection 2018.
7
Patterns, trends and determinants of medical opioid utilization in Canada 2005-2020: characterizing an era of intensive rise and fall.2005-2020 年加拿大医用阿片类药物使用的模式、趋势和决定因素:描绘一个密集上升和下降的时代。
Subst Abuse Treat Prev Policy. 2021 Sep 14;16(1):65. doi: 10.1186/s13011-021-00396-5.
8
General practice responses to opioid prescribing feedback: a qualitative process evaluation.全科医生对阿片类药物处方反馈的反应:一项定性过程评估。
Br J Gen Pract. 2021 Sep 30;71(711):e788-e796. doi: 10.3399/BJGP.2020.1117. Print 2021 Oct.
9
Overview of this issue: "Pain management in an opioid crisis".本期概述:“阿片类药物危机中的疼痛管理”。
Int J Clin Pharm. 2021 Apr;43(2):309-312. doi: 10.1007/s11096-021-01245-y. Epub 2021 Apr 27.
10
Comparison of Crude Population-Level Indicators of Opioid Use and Related Harm in New Zealand and Ontario (Canada).新西兰与加拿大安大略省阿片类药物使用及相关危害的粗略人群水平指标比较
Pain Ther. 2021 Jun;10(1):15-23. doi: 10.1007/s40122-020-00229-6. Epub 2020 Dec 31.
加拿大安大略省成年人非医疗处方阿片类药物使用量的减少:近期的政策干预措施是否有效?
Subst Abuse Treat Prev Policy. 2013 Feb 14;8:7. doi: 10.1186/1747-597X-8-7.
4
High correlations between levels of consumption and mortality related to strong prescription opioid analgesics in British Columbia and Ontario, 2005-2009.2005-2009 年不列颠哥伦比亚省和安大略省与强力处方阿片类镇痛药相关的消费水平与死亡率之间的高度相关性。
Pharmacoepidemiol Drug Saf. 2013 Apr;22(4):438-42. doi: 10.1002/pds.3404. Epub 2013 Jan 14.
5
Prevalence and key covariates of non-medical prescription opioid use among the general secondary student and adult populations in Ontario, Canada.在加拿大安大略省,普通中学生和成年人群中非医疗处方类阿片类药物使用的流行情况和主要协变量。
Drug Alcohol Rev. 2013 May;32(3):276-87. doi: 10.1111/dar.12025. Epub 2013 Jan 11.
6
'Opioid drought', Canadian-style? Potential implications of the 'natural experiment' of delisting oxycontin in Canada.加拿大式的“阿片类药物短缺”?加拿大将奥施康定退市的“自然实验”的潜在影响。
Int J Drug Policy. 2012 Nov;23(6):495-7. doi: 10.1016/j.drugpo.2012.07.008. Epub 2012 Aug 31.
7
Prescription opioid related misuse, harms, diversion and interventions in Canada: a review.加拿大与处方阿片类药物相关的滥用、危害、转移和干预措施:综述。
Pain Physician. 2012 Jul;15(3 Suppl):ES191-203.
8
Correlations between population levels of prescription opioid use and prescription-opioid-related substance use treatment admissions in the USA and Canada since 2001.自2001年以来美国和加拿大处方阿片类药物使用的人口水平与处方阿片类药物相关物质使用治疗入院人数之间的相关性。
Public Health. 2012 Sep;126(9):749-51. doi: 10.1016/j.puhe.2012.04.010. Epub 2012 Jul 5.
9
Time series analysis of California's prescription monitoring program: impact on prescribing and multiple provider episodes.加州处方监测计划的时间序列分析:对处方和多个提供者事件的影响。
J Pain. 2012 Feb;13(2):103-11. doi: 10.1016/j.jpain.2011.09.006. Epub 2011 Nov 23.
10
Representations of OxyContin in North American newspapers and medical journals.《北美报纸和医学期刊中的奥施康定形象》
Pain Res Manag. 2011 Jul-Aug;16(4):252-8. doi: 10.1155/2011/867326.