Suppr超能文献

通过与酸性催化剂相关的原位酯交换过程提高海洋藻类斜生栅藻生产生物柴油的效率。

Enhancement of biodiesel production from marine alga, Scenedesmus sp. through in situ transesterification process associated with acidic catalyst.

作者信息

Kim Ga Vin, Choi Woonyong, Kang Dohyung, Lee Shinyoung, Lee Hyeonyong

机构信息

Department of Bioengineering and Technology, College of Engineering, Kangwon National University, Chuncheon 200-701, Republic of Korea.

Department of Medical Biomaterial Engineering, Kangwon National University, Chuncheon 200-701, Republic of Korea.

出版信息

Biomed Res Int. 2014;2014:391542. doi: 10.1155/2014/391542. Epub 2014 Feb 13.

Abstract

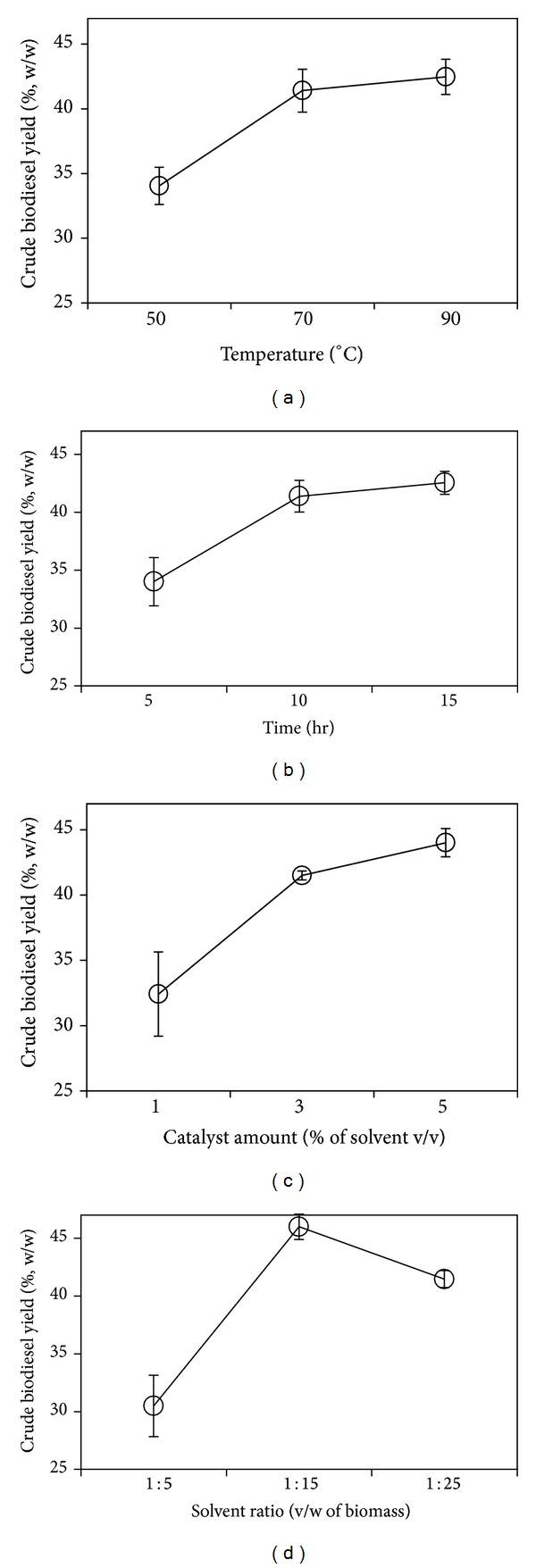
The aim of this study was to increase the yield of biodiesel produced by Scenedesmus sp. through in situ transesterification by optimizing various process parameters. Based on the orthogonal matrix analysis for the acidic catalyst, the effects of the factors decreased in the order of reaction temperature (47.5%) > solvent quantity (26.7%) > reaction time (17.5%) > catalyst amount (8.3%). Based on a Taguchi analysis, the effects of the factors decreased in the order of solvent ratio (34.36%) > catalyst (28.62%) > time (19.72%) > temperature (17.32%). The overall biodiesel production appeared to be better using NaOH as an alkaline catalyst rather than using H2SO4 in an acidic process, at 55.07 ± 2.18% (based on lipid weight) versus 48.41 ± 0.21%. However, in considering the purified biodiesel, it was found that the acidic catalyst was approximately 2.5 times more efficient than the alkaline catalyst under the following optimal conditions: temperature of 70 °C (level 2), reaction time of 10 hrs (level 2), catalyst amount of 5% (level 3), and biomass to solvent ratio of 1 : 15 (level 2), respectively. These results clearly demonstrated that the acidic solvent, which combined oil extraction with in situ transesterification, was an effective catalyst for the production of high-quantity, high-quality biodiesel from a Scenedesmus sp.

摘要

本研究的目的是通过优化各种工艺参数,采用原位酯交换法提高栅藻属生产生物柴油的产量。基于对酸性催化剂的正交矩阵分析,各因素的影响程度依次为:反应温度(47.5%)>溶剂量(26.7%)>反应时间(17.5%)>催化剂用量(8.3%)。基于田口分析,各因素的影响程度依次为:溶剂比(34.36%)>催化剂(28.62%)>时间(19.72%)>温度(17.32%)。总体而言,使用NaOH作为碱性催化剂生产生物柴油的效果优于酸性工艺中使用H₂SO₄的效果,分别为55.07±2.18%(基于脂质重量)和48.41±0.21%。然而,在考虑纯化生物柴油时,发现在以下最佳条件下,酸性催化剂的效率比碱性催化剂高约2.5倍:温度70℃(第2水平)、反应时间10小时(第2水平)、催化剂用量5%(第3水平)以及生物质与溶剂比1:15(第2水平)。这些结果清楚地表明,将油提取与原位酯交换相结合的酸性溶剂是从栅藻属生产高质量生物柴油的有效催化剂。

https://cdn.ncbi.nlm.nih.gov/pmc/blobs/faaf/3943251/b4a57bd58cff/BMRI2014-391542.001.jpg

文献AI研究员

20分钟写一篇综述,助力文献阅读效率提升50倍。

立即体验

用中文搜PubMed

大模型驱动的PubMed中文搜索引擎

马上搜索

文档翻译

学术文献翻译模型,支持多种主流文档格式。

立即体验