Suppr超能文献

W(110) 表面铁单层上的氧:从化学吸附到氧化

Oxygen on an Fe monolayer on W(110): From chemisorption to oxidation.

作者信息

Freindl K, Partyka-Jankowska E, Karaś W, Zając M, Madej E, Spiridis N, Slęzak M, Slęzak T, Wiśnios D, Korecki J

机构信息

Jerzy Haber Institute of Catalysis and Surface Chemistry, Polish Academy of Sciences, ul. Niezapominajek 8, 30-239 Kraków, Poland.

Faculty of Physics, University of Vienna, Strudlhofgasse 4, A-1090 Vienna, Austria.

出版信息

Surf Sci. 2013 Nov;617(100):183-191. doi: 10.1016/j.susc.2013.07.011.

Abstract

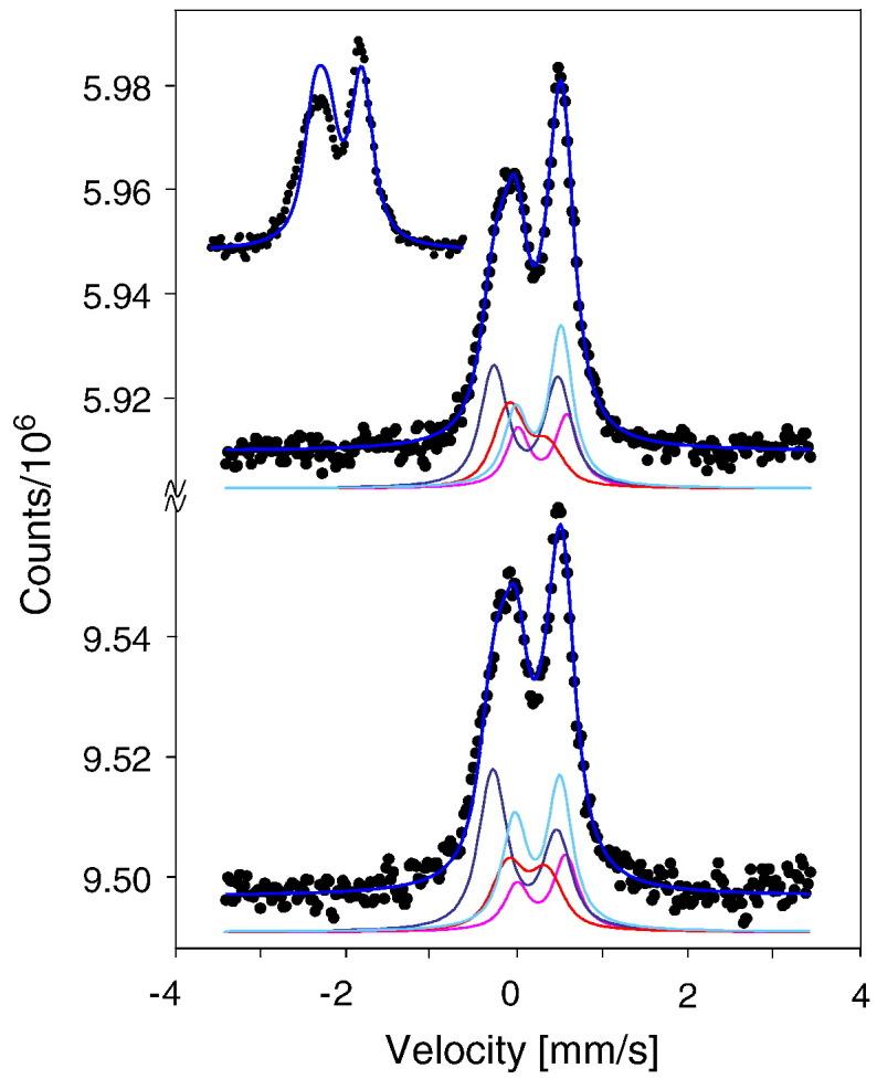
The adsorption of oxygen on a pseudomorphic iron monolayer deposited on a W(110) surface was studied experimentally and theoretically. Standard surface characterization methods, such as Auger electron spectroscopy and low energy electron diffraction, and specific nuclear methods, such as conversion electron Mössbauer spectroscopy (CEMS) and nuclear resonant scattering of synchrotron radiation, combined with theoretical calculations based on the density functional theory allowed us to determine the structure of the oxygen adsorbate and the electronic properties of iron atoms with different oxygen coordinations. The oxygen-(3 × 2) structure on the iron monolayer was recognized and was interpreted to be a state with oxygen chemisorbed on the non-reconstructed surface with modest electron transfer from iron to oxygen. A transition from chemisorbed oxygen to the onset of Fe-oxidation is revealed by distinct changes in the CEMS spectra.

摘要

对沉积在W(110)表面的赝形铁单层上氧气的吸附进行了实验和理论研究。采用标准表面表征方法,如俄歇电子能谱和低能电子衍射,以及特定的核方法,如转换电子穆斯堡尔谱(CEMS)和同步辐射的核共振散射,并结合基于密度泛函理论的理论计算,使我们能够确定氧吸附质的结构以及具有不同氧配位的铁原子的电子性质。识别出了铁单层上的氧-(3×2)结构,并将其解释为氧化学吸附在未重构表面上且有适度电子从铁转移到氧的状态。CEMS光谱的明显变化揭示了从化学吸附氧到铁氧化开始的转变。

https://cdn.ncbi.nlm.nih.gov/pmc/blobs/922b/3990424/2faca5b7f660/gr1.jpg

相似文献

1
Oxygen on an Fe monolayer on W(110): From chemisorption to oxidation.
Surf Sci. 2013 Nov;617(100):183-191. doi: 10.1016/j.susc.2013.07.011.
2
Barium adsorption on the chemisorbed O(2 × 1)/Ni(110) surface.
J Phys Condens Matter. 2009 Nov 4;21(44):445004. doi: 10.1088/0953-8984/21/44/445004. Epub 2009 Oct 9.

本文引用的文献

2
Phonons at the Fe(110) surface.
Phys Rev Lett. 2007 Aug 10;99(6):066103. doi: 10.1103/PhysRevLett.99.066103. Epub 2007 Aug 7.
3
Atomically resolved spin-dependent tunneling on the oxygen-terminated Fe3O4(111).
Phys Rev Lett. 2004 Jul 30;93(5):057201. doi: 10.1103/PhysRevLett.93.057201. Epub 2004 Jul 29.
4
Perpendicular spin orientation in ultrasmall Fe islands on W(110).
Phys Rev Lett. 2001 Jun 11;86(24):5597-600. doi: 10.1103/PhysRevLett.86.5597.
5
Generalized Gradient Approximation Made Simple.
Phys Rev Lett. 1996 Oct 28;77(18):3865-3868. doi: 10.1103/PhysRevLett.77.3865.
6
Submonolayer magnetism of Fe(110) on W(110): Finite width scaling of stripes and percolation between islands.
Phys Rev Lett. 1994 Aug 8;73(6):898-901. doi: 10.1103/PhysRevLett.73.898.
7
Ferromagnetic order in a Fe(110) monolayer on W(110) by Mössbauer spectroscopy.
Phys Rev Lett. 1987 Sep 7;59(10):1152-1155. doi: 10.1103/PhysRevLett.59.1152.
8
Characterization of copper (100) surfaces by isolated indium-probe atoms via the electric field gradient.
Phys Rev Lett. 1986 Aug 25;57(8):1068-1071. doi: 10.1103/PhysRevLett.57.1068.
9
In situ Mössbauer analysis of hyperfine interactions near Fe(110) surfaces and interfaces.
Phys Rev Lett. 1985 Nov 25;55(22):2491-2494. doi: 10.1103/PhysRevLett.55.2491.
10
Improved tetrahedron method for Brillouin-zone integrations.
Phys Rev B Condens Matter. 1994 Jun 15;49(23):16223-16233. doi: 10.1103/physrevb.49.16223.

文献AI研究员

20分钟写一篇综述,助力文献阅读效率提升50倍。

立即体验

用中文搜PubMed

大模型驱动的PubMed中文搜索引擎

马上搜索

文档翻译

学术文献翻译模型,支持多种主流文档格式。

立即体验