Division of Pulmonary Medicine, Department of Internal Medicine, Taipei Tzuchi Hospital, The Buddhist Tzuchi Medical Foundation, New Taipei City, Republic of China ; School of Medicine, Tzuchi University, Hualien, Republic of China.
Department of Radiology, Tri-Service General Hospital, Taipei, Republic of China.
Ann Thorac Med. 2014 Apr;9(2):112-9. doi: 10.4103/1817-1737.128860.
Thoracotomy is a common procedure. However, thoracotomy leads to lung atelectasis and deteriorates pulmonary gas exchange in operated side. Therefore, different positions with operated side lowermost or uppermost may lead to different gas exchange after thoracotomy. Besides, PEEP (positive end-expiratory pressure) influence lung atelectasis and should influence gas exchange.
The purpose of this study was to determine the physiological changes in different positions after thoracotomy. In addition, we also studied the influence of PEEP to positional effects after thoracotomy.
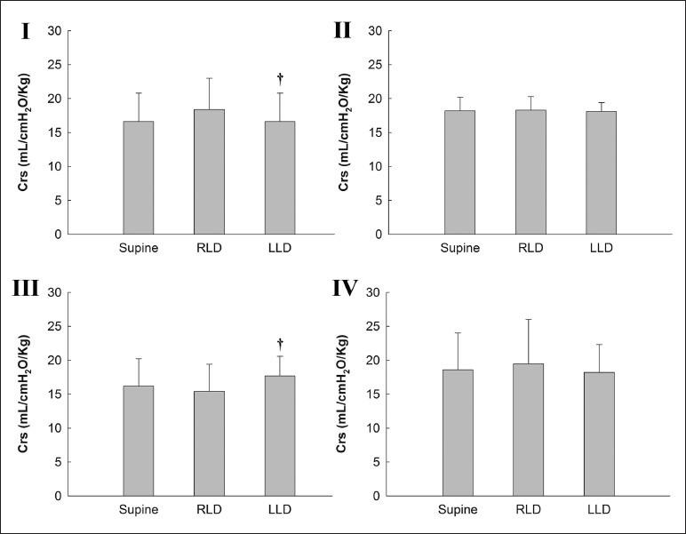
There were eight pigs in each group. Group I received left thoracotomy with zero end-expiratory pressure (ZEEP), and group II with PEEP; group III received right thoracotomy with ZEEP and group IV with PEEP. We changed positions to supine, LLD (left lateral decubitus) and RLD (right lateral decubitus) in random order after thoracotomy.
PaO2 was decreased after thoracotomy and higher in RLD after left thoracotomy and in LLD after right thoracotomy. PaO2 in groups II and IV was higher than in groups I and III if with the same position. In group I and III, PaCO2 was increased after thoracotomy and was higher in LLD after left thoracotomy and in RLD after right thoracotomy. In groups II and IV, there were no PaCO2 changes in different positions after thoracotomy. Lung compliance (Crs) was decreased after thoracotomy in groups I and III and highest in RLD after left thoracotomy and in LLD after right thoracotomy. In groups II and IV, there were no changes in Crs regardless of the different positions.
There were significant changes with regards to pulmonary gas exchange, hemodynamics and Crs after thoracotomy. The best position was non-operated lung lowermost Applying PEEP attenuates the positional effects.
开胸术是一种常见的手术。然而,开胸术会导致肺不张,并在手术侧恶化肺气体交换。因此,手术侧处于低位或高位的不同体位可能会导致开胸术后的气体交换不同。此外,PEEP(呼气末正压)会影响肺不张,也会影响气体交换。
本研究旨在确定开胸术后不同体位的生理变化。此外,我们还研究了 PEEP 对开胸术后体位效应的影响。
每组有 8 头猪。I 组接受无呼气末正压(ZEEP)的左侧开胸术,II 组接受 PEEP;III 组接受 ZEEP 的右侧开胸术,IV 组接受 PEEP。开胸术后,我们随机改变体位为仰卧位、左侧卧位(LLD)和右侧卧位(RLD)。
开胸术后 PaO2 降低,左侧开胸术后 RLD 和右侧开胸术后 LLD 时 PaO2 较高。II 组和 IV 组在相同体位时 PaO2 高于 I 组和 III 组。I 组和 III 组开胸术后 PaCO2 升高,左侧开胸术后 LLD 和右侧开胸术后 RLD 时 PaCO2 较高。II 组和 IV 组开胸术后不同体位 PaCO2 无变化。I 组和 III 组开胸术后肺顺应性(Crs)降低,左侧开胸术后 RLD 和右侧开胸术后 LLD 时 Crs 最高。II 组和 IV 组无论体位如何,Crs 均无变化。
开胸术后肺气体交换、血流动力学和 Crs 均有显著变化。最佳体位是未手术肺处于低位并应用 PEEP,可减轻体位效应。