• 文献检索
  • 文档翻译
  • 深度研究
  • 学术资讯
  • Suppr Zotero 插件Zotero 插件
  • 邀请有礼
  • 套餐&价格
  • 历史记录
应用&插件
Suppr Zotero 插件Zotero 插件浏览器插件Mac 客户端Windows 客户端微信小程序
定价
高级版会员购买积分包购买API积分包
服务
文献检索文档翻译深度研究API 文档MCP 服务
关于我们
关于 Suppr公司介绍联系我们用户协议隐私条款
关注我们

Suppr 超能文献

核心技术专利:CN118964589B侵权必究
粤ICP备2023148730 号-1Suppr @ 2026

文献检索

告别复杂PubMed语法,用中文像聊天一样搜索,搜遍4000万医学文献。AI智能推荐,让科研检索更轻松。

立即免费搜索

文件翻译

保留排版,准确专业,支持PDF/Word/PPT等文件格式,支持 12+语言互译。

免费翻译文档

深度研究

AI帮你快速写综述,25分钟生成高质量综述,智能提取关键信息,辅助科研写作。

立即免费体验

波多黎各医疗保险覆盖类型对结直肠癌生存的影响:一项基于人群的研究。

Effects of type of health insurance coverage on colorectal cancer survival in Puerto Rico: a population-based study.

作者信息

Ortiz-Ortiz Karen J, Ramírez-García Roberto, Cruz-Correa Marcia, Ríos-González Moraima Y, Ortiz Ana Patricia

机构信息

Puerto Rico Central Cancer Registry, University of Puerto Rico Comprehensive Cancer Center, San Juan, Puerto Rico; Department of Health Services Administration, Graduate School of Public Health, Medical Sciences Campus, University of Puerto Rico, San Juan, Puerto Rico.

Department of Health Services Administration, Graduate School of Public Health, Medical Sciences Campus, University of Puerto Rico, San Juan, Puerto Rico.

出版信息

PLoS One. 2014 May 5;9(5):e96746. doi: 10.1371/journal.pone.0096746. eCollection 2014.

DOI:10.1371/journal.pone.0096746
PMID:24796444
原文链接:https://pmc.ncbi.nlm.nih.gov/articles/PMC4010542/
Abstract

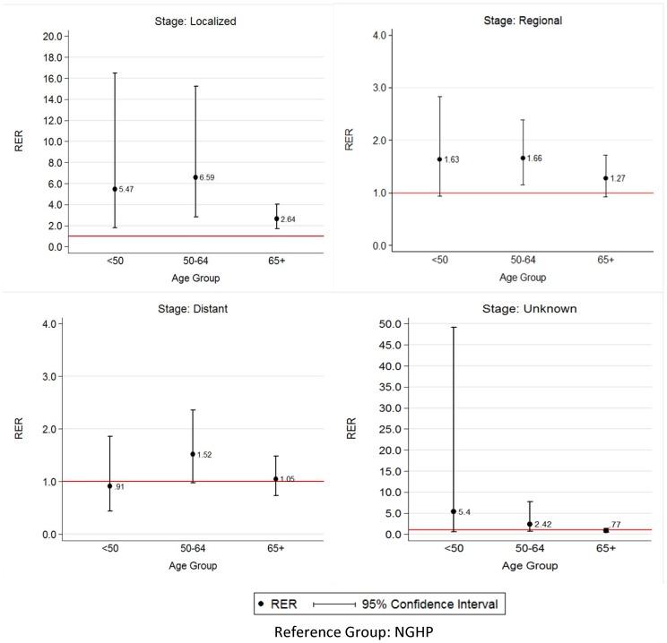
Colorectal cancer represents a major health problem and an important economic burden in Puerto Rico. In the 1990's, the Commonwealth of Puerto Rico implemented a health care reform through the privatization of the public health system. The goal was to ensure access to health services, eliminate disparities for medically indigent citizens and provide special coverage for high-risk conditions such as cancer. This study estimates the 5-year relative survival rate of colorectal cancer and the relative excess risk of death in Puerto Rico for 2004-2005, by type of health insurance coverage; Government Health Plan vs. Non-Government Health Plan. Colorectal cancer in advanced stages was more common in Government Health Plan patients compared with Non-Government Health Plan patients (44.29% vs. 40.24 had regional extent and 13.58% versus 10.42% had distant involvement, respectively). Government Health Plan patients in the 50-64 (RR = 6.59; CI: 2.85-15.24) and ≥65 (RR = 2.4; CI: 1.72-4.04) age-groups had the greater excess risk of death compared with Non-Government Health Plan patients. Further studies evaluating the interplay of access to health services and the barriers affecting the Government Health Plan population are warranted.

摘要

在波多黎各,结直肠癌是一个重大的健康问题,也是一项重要的经济负担。20世纪90年代,波多黎各联邦通过公共卫生系统私有化实施了一项医疗改革。其目标是确保获得医疗服务,消除医疗贫困公民之间的差距,并为癌症等高风险疾病提供特殊保险。本研究按医疗保险覆盖类型(政府健康计划与非政府健康计划)估算了2004 - 2005年波多黎各结直肠癌的5年相对生存率和相对超额死亡风险。与非政府健康计划患者相比,晚期结直肠癌在政府健康计划患者中更为常见(区域扩散分别为44.29%对40.24%,远处转移分别为13.58%对10.42%)。50 - 64岁(RR = 6.59;CI:2.85 - 15.24)和≥65岁(RR = 2.4;CI:1.72 - 4.04)年龄组的政府健康计划患者与非政府健康计划患者相比,有更高的超额死亡风险。有必要进一步开展研究,评估获得医疗服务的相互作用以及影响政府健康计划人群的障碍。

https://cdn.ncbi.nlm.nih.gov/pmc/blobs/58fa/4010542/9c1de5d0d2c4/pone.0096746.g002.jpg
https://cdn.ncbi.nlm.nih.gov/pmc/blobs/58fa/4010542/dd1ad080beb3/pone.0096746.g001.jpg
https://cdn.ncbi.nlm.nih.gov/pmc/blobs/58fa/4010542/9c1de5d0d2c4/pone.0096746.g002.jpg
https://cdn.ncbi.nlm.nih.gov/pmc/blobs/58fa/4010542/dd1ad080beb3/pone.0096746.g001.jpg
https://cdn.ncbi.nlm.nih.gov/pmc/blobs/58fa/4010542/9c1de5d0d2c4/pone.0096746.g002.jpg

相似文献

1
Effects of type of health insurance coverage on colorectal cancer survival in Puerto Rico: a population-based study.波多黎各医疗保险覆盖类型对结直肠癌生存的影响:一项基于人群的研究。
PLoS One. 2014 May 5;9(5):e96746. doi: 10.1371/journal.pone.0096746. eCollection 2014.
2
Factors associated with late stage at diagnosis among Puerto Rico's government health plan colorectal cancer patients: a cross-sectional study.波多黎各政府医保计划中结直肠癌患者诊断时处于晚期的相关因素:一项横断面研究
BMC Health Serv Res. 2016 Aug 3;16(a):344. doi: 10.1186/s12913-016-1590-4.
3
On the Outskirts of National Health Reform: A Comparative Assessment of Health Insurance and Access to Care in Puerto Rico and the United States.在国家医疗改革的边缘:波多黎各与美国医疗保险及医疗服务可及性的比较评估
Milbank Q. 2015 Sep;93(3):584-608. doi: 10.1111/1468-0009.12138.
4
Effect of type of health insurance coverage on leukemia survival in adults in Puerto Rico.医疗保险覆盖类型对波多黎各成年人白血病生存率的影响。
P R Health Sci J. 2014 Sep;33(3):132-5.
5
The impact of Medicaid funding structures on inequities in health care access for Latinos in New York, Florida, and Puerto Rico.医疗补助资金结构对纽约、佛罗里达和波多黎各拉丁裔获得医疗服务机会不平等的影响。
Health Serv Res. 2022 Dec;57 Suppl 2(Suppl 2):172-182. doi: 10.1111/1475-6773.14036. Epub 2022 Aug 3.
6
Impact of Health Insurance Expansion on the Treatment of Colorectal Cancer.医疗保险扩大对结直肠癌治疗的影响。
J Clin Oncol. 2016 Dec;34(34):4110-4115. doi: 10.1200/JCO.2016.68.5701. Epub 2016 Oct 31.
7
Health Insurance and Colorectal Cancer Survival in Khon Kaen, Thailand.泰国孔敬府的健康保险与结直肠癌生存率
Asian Pac J Cancer Prev. 2019 Jun 1;20(6):1797-1802. doi: 10.31557/APJCP.2019.20.6.1797.
8
The Other US Border: Health Insurance Coverage Among Latino Immigrants In Puerto Rico.《另一个美国边境:波多黎各拉丁裔移民的医疗保险覆盖情况》。
Health Aff (Millwood). 2021 Jul;40(7):1117-1125. doi: 10.1377/hlthaff.2021.00049.
9
Incidence, prevalence, and economic burden of sarcoidosis in Puerto Rico: Estimates from a government health insurance claims database.波多黎各的肉样瘤病的发病率、患病率和经济负担:来自政府健康保险索赔数据库的估计。
Chronic Illn. 2022 Dec;18(4):889-900. doi: 10.1177/17423953211043104. Epub 2021 Sep 20.
10
Medicare Advantage Financing and Quality in Puerto Rico vs the 50 US States and Washington, DC.波多黎各的医疗保险优势融资与质量与美国 50 个州和华盛顿特区的比较。
JAMA Health Forum. 2022 Sep 2;3(9):e223073. doi: 10.1001/jamahealthforum.2022.3073.

引用本文的文献

1
Effect of Chemotherapy Treatment on Overall Survival of Colon Cancer Patients Using Propensity Score Matching.使用倾向得分匹配法评估化疗对结肠癌患者总生存期的影响。
Cureus. 2025 May 11;17(5):e83892. doi: 10.7759/cureus.83892. eCollection 2025 May.
2
Challenges oncologists face when caring for hispanics living in puerto rico with colorectal cancer and multiple chronic conditions.肿瘤学家在照顾居住在波多黎各患有结直肠癌和多种慢性病的西班牙裔患者时所面临的挑战。
BMC Cancer. 2025 May 20;25(1):898. doi: 10.1186/s12885-025-14271-0.
3
Evaluating the impact of hurricanes and the COVID-19 pandemic on colorectal cancer incidence in Puerto Rico: An interrupted time-series analysis.

本文引用的文献

1
Correlates of colorectal cancer screening among Hispanics: Results from the 2008 Puerto Rico behavioral risk factor surveillance system survey.西班牙裔人群中结直肠癌筛查的相关因素:2008年波多黎各行为危险因素监测系统调查结果
P R Health Sci J. 2013 Jun;32(2):68-75.
2
Does increasing insurance improve outcomes for US cancer patients?增加保险是否能改善美国癌症患者的预后?
J Surg Res. 2013 Nov;185(1):15-20. doi: 10.1016/j.jss.2013.05.058. Epub 2013 Jun 5.
3
The International Cancer Benchmarking Partnership: an international collaboration to inform cancer policy in Australia, Canada, Denmark, Norway, Sweden and the United Kingdom.
评估飓风和新冠疫情对波多黎各结直肠癌发病率的影响:一项中断时间序列分析。
Cancer. 2025 Apr 15;131(8):e35793. doi: 10.1002/cncr.35793.
4
Breast and Colorectal Cancer Screening Utilization after Hurricane María and the COVID-19 Pandemic in Puerto Rico.波多黎各玛丽亚飓风和 COVID-19 大流行后对乳腺癌和结直肠癌的筛查利用。
Int J Environ Res Public Health. 2023 Oct 1;20(19):6870. doi: 10.3390/ijerph20196870.
5
The Puerto Rico Community Cancer Control Outreach Program: Developing Capacity-Building Activities on Cancer Screening Guidelines and HPV Vaccination Recommendations for Health Care Professionals.波多黎各社区癌症控制外展计划:为医疗卫生专业人员制定癌症筛查指南和 HPV 疫苗接种建议的能力建设活动。
P R Health Sci J. 2022 Dec;41(4):217-221.
6
Characteristics of colorectal cancers among Alaska Native people before and after implementing programs to promote screening.阿拉斯加原住民实施筛查促进项目前后的结直肠癌特征。
J Cancer Policy. 2021 Sep;29:100293. doi: 10.1016/j.jcpo.2021.100293. Epub 2021 Jul 12.
7
Global pattern and trends of colorectal cancer survival: a systematic review of population-based registration data.结直肠癌生存的全球模式与趋势:基于人群登记数据的系统综述
Cancer Biol Med. 2021 Sep 6;19(2):175-86. doi: 10.20892/j.issn.2095-3941.2020.0634.
8
Use of palliative radiotherapy among patients with metastatic non-small-cell lung cancer in Puerto Rico.波多黎各转移性非小细胞肺癌患者姑息性放疗的应用。
BMC Palliat Care. 2021 Aug 13;20(1):127. doi: 10.1186/s12904-021-00819-x.
9
Propensity Score Matching Analysis of the Effect of Payer Status on the Survival of Colon Cancer Patients.支付者状态对结肠癌患者生存影响的倾向评分匹配分析
Cureus. 2021 Jun 18;13(6):e15748. doi: 10.7759/cureus.15748. eCollection 2021 Jun.
10
Squamous Cell Carcinoma of the Anus Incidence, Mortality, and Survival Among the General Population and Persons Living With HIV in Puerto Rico, 2000-2016.波多黎各普通人群和 HIV 感染者中的肛门鳞状细胞癌发病率、死亡率和生存率,2000-2016 年。
JCO Glob Oncol. 2021 Jan;7:133-143. doi: 10.1200/GO.20.00299.
国际癌症基准合作组织:一个旨在为澳大利亚、加拿大、丹麦、挪威、瑞典和英国的癌症政策提供信息的国际合作组织。
Health Policy. 2013 Sep;112(1-2):148-55. doi: 10.1016/j.healthpol.2013.03.021. Epub 2013 May 18.
4
Stage at diagnosis and colorectal cancer survival in six high-income countries: a population-based study of patients diagnosed during 2000-2007.诊断时的分期与 6 个高收入国家的结直肠癌生存情况:2000-2007 年间确诊患者的基于人群研究。
Acta Oncol. 2013 Jun;52(5):919-32. doi: 10.3109/0284186X.2013.764008. Epub 2013 Apr 15.
5
Stastistical methods for cancer survival analysis.癌症生存分析的统计方法。
IARC Sci Publ. 2011(162):7-13.
6
Perspectives of San Juan healthcare practitioners on the detection deficit in oral premalignant and early cancers in Puerto Rico: a qualitative research study.波多黎各圣胡安医疗保健从业者对口腔癌前病变和早期癌症检测不足的看法:一项定性研究。
BMC Public Health. 2011 May 26;11:391. doi: 10.1186/1471-2458-11-391.
7
Productivity loss in Puerto Rico's labor market due to cancer mortality.波多黎各劳动力市场因癌症死亡造成的生产力损失。
P R Health Sci J. 2010 Sep;29(3):241-9.
8
Socioeconomic inequalities in cancer survival in England after the NHS cancer plan.英国国民保健制度癌症计划后癌症生存的社会经济不平等
Br J Cancer. 2010 Aug 10;103(4):446-53. doi: 10.1038/sj.bjc.6605752. Epub 2010 Jun 29.
9
Effects of socioeconomic status on colon cancer treatment accessibility and survival in Toronto, Ontario, and San Francisco, California, 1996-2006.1996-2006 年安大略省多伦多和加利福尼亚州旧金山的社会经济地位对结肠癌治疗可及性和生存的影响。
Am J Public Health. 2011 Jan;101(1):112-9. doi: 10.2105/AJPH.2009.173112. Epub 2010 Mar 18.
10
The effect of socioeconomic status on survival from colorectal cancer in the Melbourne Collaborative Cohort Study.墨尔本协作队列研究中社会经济地位对结直肠癌生存的影响。
Soc Sci Med. 2009 Jan;68(2):290-7. doi: 10.1016/j.socscimed.2008.09.070. Epub 2008 Nov 19.