Suppr超能文献

比较用发芽和未发芽复合谷物制成的天然发酵库努扎基的感官和近似评价。

Comparative sensory and proximate evaluation of spontaneously fermenting kunu-zaki made from germinated and ungerminated composite cereal grains.

机构信息

Department of Microbiology, School of Science, Federal University of Technology Akure, Ondo State, Nigeria.

出版信息

Food Sci Nutr. 2013 Jul;1(4):336-49. doi: 10.1002/fsn3.45. Epub 2013 Jun 18.

Abstract

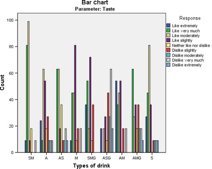
This study evaluated the sensory properties, proximate composition, and overall consumer acceptability of kunu-zaki using germinated and ungerminated Sorghum bicolor (sorghum), Pennisetum americanum (millet), and Digitaria exilis (acha) cereal grains. The three cereal grains were used in nongerminated and germinated composite and noncomposite proportions coded A (Acha), S (Sorghum), M (Millet), AS (Acha-Sorghum), AM (Acha-Millet), SM (Sorghum-Millet), ASG (Acha-Sorghum Germinated), AMG (Acha-Millet Germinated), and SMG (Sorghum-Millet Germinated). Proximate analysis determined the moisture content, ash, crude fiber, fat, and crude protein content of the fermented grains. The 9-point hedonic scale was used to judge the sensory parameters of taste, color, and aroma. The paired comparison test was used to judge consumer preference between kunu-zaki made from germinated grains and the ungerminated counterpart. Scores were statistically analyzed using the Kruskal-Wallis test in the SPSS analytical software package. Panelists ranked the ASG-coded drink highest in terms of taste and aroma, the AMG-coded drink highest in terms of color. SM ranked least in terms of taste; SMG ranked least in terms of aroma; and AM ranked the least in terms of color. Preference for each parameter was significantly different (P < 0.001). Panelists ranked overall preference for the drinks from the most liked to the least liked in the order ASG>AMG>A>AS>S>M>SMG>AM>SM. The overall preference for the drinks was also significantly different (P < 0.001). Panelists pairing both ungerminated drinks with the germinated drinks ranked the ungerminated drink AS as most preferred in terms of taste, color, and aroma above its germinated counterpart ASG with preference not significantly dependent on the parameters (P = 0.065 > 0.05). Ungerminated AM was also preferred above the germinated counterpart AMG in terms of taste, color, and aroma with preference not significantly dependent on parameters (P = 0.055 > 0.05). However, panelists showed preference for the taste and aroma of the germinated drink SMG but more preference for the color of the ungerminated drink SM with preference significantly dependent on the parameters (P = 0.028 < 0.05). Crude fiber values were higher - 11.3%, 13.1%, and 17.37% for SMG, AMG and ASG, respectively. Germination increased %Fat values slightly but the %Ash was relatively stable in both germinated and ungerminated drinks. Addition of germinated acha cereal grains to either sorghum or millet prior to fermentation offers desirable sensory and nutritional quality attributes in kunu-zaki.

摘要

本研究评估了使用发芽和未发芽的高粱(高粱)、黍(小米)和狗尾草(狗尾草)谷物的库努-扎基的感官特性、近似成分和整体消费者可接受性。这三种谷物分别以未发芽和发芽的复合和非复合比例编码为 A(狗尾草)、S(高粱)、M(小米)、AS(高粱-狗尾草)、AM(高粱-小米)、SM(高粱-小米)、ASG(发芽的高粱-狗尾草)、AMG(发芽的高粱-小米)和 SMG(发芽的高粱-小米)。通过 9 分快感量表来判断发酵谷物的味道、颜色和香气的感官参数。使用配对比较测试来判断消费者对由发芽谷物制成的库努-扎基和未发芽对应物的偏好。使用 SPSS 分析软件包中的 Kruskal-Wallis 检验对分数进行统计分析。品尝员根据味道和香气将 ASG 编码的饮料评为最高,根据颜色将 AMG 编码的饮料评为最高。SM 在味道方面得分最低;SMG 在香气方面得分最低;AM 在颜色方面得分最低。每个参数的偏好差异均有统计学意义(P<0.001)。品尝员根据从最受欢迎到最不受欢迎的顺序,将对饮料的整体偏好排名为 ASG>AMG>A>AS>S>M>SMG>AM>SM。饮料的整体偏好也有显著差异(P<0.001)。将未发芽的饮料与发芽的饮料配对的品尝员将未发芽的 AS 饮料评为在味道、颜色和香气方面最受欢迎,其偏好与参数无关,且不具有统计学意义(P=0.065>0.05)。未发芽的 AM 也在味道、颜色和香气方面优于发芽的 AMG,其偏好与参数无关,且不具有统计学意义(P=0.055>0.05)。然而,品尝员对发芽的 SMG 饮料的味道和香气表现出偏好,但对未发芽的 SM 饮料的颜色更偏好,其偏好与参数显著相关(P=0.028<0.05)。SMG、AMG 和 ASG 的粗纤维值分别为 11.3%、13.1%和 17.37%。发芽略微增加了脂肪%值,但在发芽和未发芽的饮料中灰分相对稳定。在发酵前向高粱或小米中添加发芽的狗尾草谷物,可为库努-扎基提供理想的感官和营养品质特性。

https://cdn.ncbi.nlm.nih.gov/pmc/blobs/d06b/3951600/2df811fe5e2d/fsn30001-0336-f1.jpg

文献AI研究员

20分钟写一篇综述,助力文献阅读效率提升50倍。

立即体验

用中文搜PubMed

大模型驱动的PubMed中文搜索引擎

马上搜索

文档翻译

学术文献翻译模型,支持多种主流文档格式。

立即体验