Suppr超能文献

上皮钠通道调节剂对大鼠对氯化钠的神经反应的影响。

Effect of ENaC modulators on rat neural responses to NaCl.

作者信息

Mummalaneni Shobha, Qian Jie, Phan Tam-Hao T, Rhyu Mee-Ra, Heck Gerard L, DeSimone John A, Lyall Vijay

机构信息

Department of Physiology and Biophysics, Virginia Commonwealth University, Richmond, Virginia, United States of America.

Korea Food Research Institute, Bundang-gu, Sungnam-si, Gyeonggi-do, Korea.

出版信息

PLoS One. 2014 May 19;9(5):e98049. doi: 10.1371/journal.pone.0098049. eCollection 2014.

Abstract

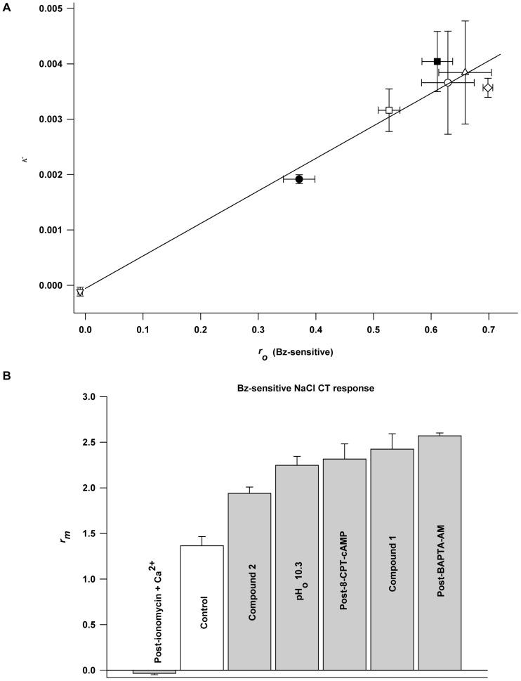
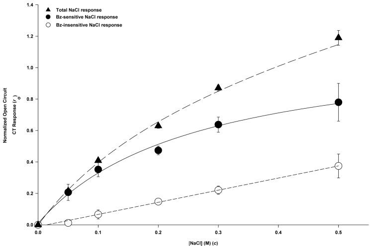
The effects of small molecule ENaC activators N,N,N-trimethyl-2-((4-methyl-2-((4-methyl-1H-indol-3-yl)thio)pentanoyl)oxy)ethanaminium iodide (Compound 1) and N-(2-hydroxyethyl)-4-methyl-2-((4-methyl-1H-indol-3-yl)thio)pentanamide (Compound 2), were tested on the benzamil (Bz)-sensitive NaCl chorda tympani (CT) taste nerve response under open-circuit conditions and under ±60 mV applied lingual voltage-clamp, and compared with the effects of known physiological activators (8-CPT-cAMP, BAPTA-AM, and alkaline pH), and an inhibitor (ionomycin+Ca2+) of ENaC. The NaCl CT response was enhanced at -60 mV and suppressed at +60 mV. In every case the CT response (r) versus voltage (V) curve was linear. All ENaC activators increased the open-circuit response (ro) and the voltage sensitivity (κ, negative of the slope of the r versus V curve) and ionomycin+Ca2+ decreased ro and κ to zero. Compound 1 and Compound 2 expressed a sigmoidal-saturating function of concentration (0.25-1 mM) with a half-maximal response concentration (k) of 0.49 and 1.05 mM, respectively. Following treatment with 1 mM Compound 1, 8-CPT-cAMP, BAPTA-AM and pH 10.3, the Bz-sensitive NaCl CT response to 100 mM NaCl was enhanced and was equivalent to the Bz-sensitive CT response to 300 mM NaCl. Plots of κ versus ro in the absence and presence of the activators or the inhibitor were linear, suggesting that changes in the affinity of Na+ for ENaC under different conditions are fully compensated by changes in the apical membrane potential difference, and that the observed changes in the Bz-sensitive NaCl CT response arise exclusively from changes in the maximum CT response (rm). The results further suggest that the agonists enhance and ionomycin+Ca2+ decreases ENaC function by increasing or decreasing the rate of release of Na+ from its ENaC binding site to the receptor cell cytosol, respectively. Irrespective of agonist type, the Bz-sensitive NaCl CT response demonstrated a maximum response enhancement limit of about 75% over control value.

摘要

在开路条件下以及施加±60 mV舌部电压钳的情况下,测试了小分子上皮钠通道(ENaC)激活剂N,N,N-三甲基-2-((4-甲基-2-((4-甲基-1H-吲哚-3-基)硫代)戊酰基)氧基)乙铵碘化物(化合物1)和N-(2-羟乙基)-4-甲基-2-((4-甲基-1H-吲哚-3-基)硫代)戊酰胺(化合物2)对苯扎明(Bz)敏感的鼓索神经(CT)对NaCl味觉神经反应的影响,并与已知生理激活剂(8-对氯苯硫基-cAMP、1,2-双(2-氨基苯氧基)乙烷-N,N,N',N'-四乙酸-乙酰甲酯(BAPTA-AM)和碱性pH)以及ENaC抑制剂(离子霉素+Ca2+)的作用进行比较。NaCl的CT反应在-60 mV时增强,在+60 mV时受到抑制。在每种情况下,CT反应(r)与电压(V)的曲线都是线性的。所有ENaC激活剂均增加了开路反应(ro)和电压敏感性(κ,r与V曲线斜率的负值),而离子霉素+Ca2+则将ro和κ降低至零。化合物1和化合物2表现出浓度(0.25 - 1 mM)的S形饱和函数,半最大反应浓度(k)分别为0.49和1.05 mM。用1 mM化合物1、8-对氯苯硫基-cAMP、BAPTA-AM和pH 10.3处理后,Bz敏感的NaCl的CT对100 mM NaCl的反应增强,且等同于Bz敏感的CT对300 mM NaCl的反应。在不存在和存在激活剂或抑制剂的情况下,κ与ro的图呈线性,这表明在不同条件下Na+对ENaC亲和力的变化完全由顶端膜电位差的变化所补偿,并且观察到的Bz敏感的NaCl的CT反应变化仅源于最大CT反应(rm)的变化。结果进一步表明,激动剂分别通过增加或降低Na+从其ENaC结合位点释放到受体细胞胞质溶胶中的速率来增强和降低ENaC功能。无论激动剂类型如何,Bz敏感的NaCl的CT反应显示出比对照值最大反应增强极限约为75%。

https://cdn.ncbi.nlm.nih.gov/pmc/blobs/5455/4026388/5c26b62d690a/pone.0098049.g001.jpg

文献检索

告别复杂PubMed语法,用中文像聊天一样搜索,搜遍4000万医学文献。AI智能推荐,让科研检索更轻松。

立即免费搜索

文件翻译

保留排版,准确专业,支持PDF/Word/PPT等文件格式,支持 12+语言互译。

免费翻译文档

深度研究

AI帮你快速写综述,25分钟生成高质量综述,智能提取关键信息,辅助科研写作。

立即免费体验