Suppr超能文献

吸入性皮质类固醇和长效β激动剂联合治疗预防 COPD 加重的疗效比较:贝叶斯网络荟萃分析。

Comparative efficacy of inhaled corticosteroid and long-acting beta agonist combinations in preventing COPD exacerbations: a Bayesian network meta-analysis.

机构信息

University of Missouri, School of Medicine, Division of Pulmonary, Critical Care and Environmental Medicine, Columbia, MO, USA.

出版信息

Int J Chron Obstruct Pulmon Dis. 2014 May 12;9:469-79. doi: 10.2147/COPD.S48492. eCollection 2014.

Abstract

BACKGROUND

A combination therapy with inhaled corticosteroid (ICS) and a long-acting beta agonist (LABA) is recommended in severe chronic obstructive pulmonary disease (COPD) patients experiencing frequent exacerbations. Currently, there are five ICS/LABA combination products available on the market. The purpose of this study was to systematically review the efficacy of various ICS/LABA combinations with a network meta-analysis.

METHODS

Several databases and manufacturer's websites were searched for relevant clinical trials. Randomized control trials, at least 12 weeks duration, comparing an ICS/LABA combination with active control or placebo were included. Moderate and severe exacerbations were chosen as the outcome assessment criteria. The primary analyses were conducted with a Bayesian Markov chain Monte Carlo method.

RESULTS

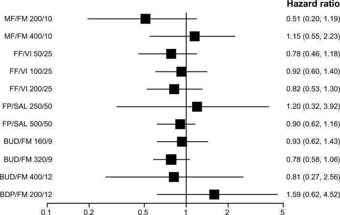
Most of the ICS/LABA combinations reduced moderate-to-severe exacerbations as compared with placebo and LABA, but none of them reduced severe exacerbations. However, many studies excluded patients receiving long-term oxygen therapy. Moderate-dose ICS was as effective as high-dose ICS in reducing exacerbations when combined with LABA.

CONCLUSION

ICS/LABA combinations had a class effect with regard to the prevention of COPD exacerbations. Moderate-dose ICS/LABA combination therapy would be sufficient for COPD patients when indicated. The efficacy of ICS/LABA combination therapy appeared modest and had no impact in reducing severe exacerbations. Further studies are needed to evaluate the efficacy of ICS/LABA combination therapy in severely affected COPD patients requiring long-term oxygen therapy.

摘要

背景

对于经常发生急性加重的重度慢性阻塞性肺疾病(COPD)患者,推荐使用吸入性皮质类固醇(ICS)和长效β激动剂(LABA)的联合治疗。目前,市场上有五种 ICS/LABA 联合制剂。本研究旨在通过网络荟萃分析系统评价各种 ICS/LABA 联合制剂的疗效。

方法

检索了多个数据库和制造商的网站,以查找相关的临床试验。纳入了比较 ICS/LABA 联合治疗与活性对照或安慰剂的至少持续 12 周的随机对照试验。选择中重度急性加重作为疗效评估标准。主要分析采用贝叶斯马尔可夫链蒙特卡罗方法进行。

结果

与安慰剂和 LABA 相比,大多数 ICS/LABA 联合制剂均可减少中重度急性加重,但均不能减少重度急性加重。然而,许多研究排除了接受长期氧疗的患者。中剂量 ICS 与高剂量 ICS 联合 LABA 同样能减少急性加重。

结论

ICS/LABA 联合制剂对预防 COPD 急性加重具有类效应。对于有指征的 COPD 患者,中剂量 ICS/LABA 联合治疗可能就足够了。ICS/LABA 联合治疗的疗效似乎有限,对减少重度急性加重没有影响。需要进一步的研究来评估 ICS/LABA 联合治疗对需要长期氧疗的严重 COPD 患者的疗效。

https://cdn.ncbi.nlm.nih.gov/pmc/blobs/25f5/4026563/3b6f11a7b82c/copd-9-469Fig1.jpg

文献AI研究员

20分钟写一篇综述,助力文献阅读效率提升50倍。

立即体验

用中文搜PubMed

大模型驱动的PubMed中文搜索引擎

马上搜索

文档翻译

学术文献翻译模型,支持多种主流文档格式。

立即体验