Suppr超能文献

断裂的环:赖氨酸 - 色氨酸阳离子中芳香性降低以及高pH互变异构体与较低的量子产率和较短的寿命相关。

The broken ring: reduced aromaticity in Lys-Trp cations and high pH tautomer correlates with lower quantum yield and shorter lifetimes.

作者信息

Eisenberg Azaria Solomon, Juszczak Laura J

机构信息

Department of Chemistry, Brooklyn College of The City University of New York , 2900 Bedford Ave., Brooklyn, NY 11210, United States.

出版信息

J Phys Chem B. 2014 Jun 26;118(25):7059-69. doi: 10.1021/jp503355h. Epub 2014 Jun 17.

Abstract

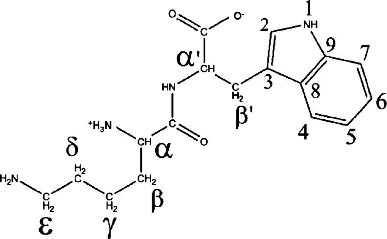
Several nonradiative processes compete with tryptophan fluorescence emission. The difficulty in spectral interpretation lies in associating specific molecular environmental features with these processes and thereby utilizing the fluorescence spectral data to identify the local environment of tryptophan. Here, spectroscopic and molecular modeling study of Lys-Trp dipeptide charged species shows that backbone-ring interactions are undistinguished. Instead, quantum mechanical ground state isosurfaces reveal variations in indole π electron distribution and density that parallel charge (as a function of pK(1), pK(2), and pK(R)) on the backbone and residues. A pattern of aromaticity-associated quantum yield and fluorescence lifetime changes emerges. Where quantum yield is high, isosurfaces have a charge distribution similar to the highest occupied molecular orbital (HOMO) of indole, which is the dominant fluorescent ground state of the (1)L(a) transition dipole moment. Where quantum yield is low, isosurface charge distribution over the ring is uneven, diminished, and even found off ring. At pH 13, the indole amine is deprotonated, and Lys-Trp quantum yield is extremely low due to tautomer structure that concentrates charge on the indole amine; the isosurface charge distribution bears scant resemblance to the indole HOMO. Such greatly diminished fluorescence has been observed for proteins where the indole nitrogen is hydrogen bonded, lending credence to the association of aromaticity changes with diminished quantum yield in proteins as well. Thus tryptophan ground state isosurfaces are an indicator of indole aromaticity, signaling the partition of excitation energy between radiative and nonradiative processes.

摘要

几种非辐射过程与色氨酸荧光发射相互竞争。光谱解释的困难在于将特定的分子环境特征与这些过程联系起来,从而利用荧光光谱数据来识别色氨酸的局部环境。在这里,对赖氨酸 - 色氨酸二肽带电物种的光谱和分子建模研究表明,主链 - 环相互作用不明显。相反,量子力学基态等势面揭示了吲哚π电子分布和密度的变化,这些变化与主链和残基上的电荷(作为pK(1)、pK(2)和pK(R)的函数)平行。出现了一种与芳香性相关的量子产率和荧光寿命变化的模式。在量子产率高的地方,等势面具有与吲哚的最高占据分子轨道(HOMO)相似的电荷分布,这是(1)L(a)跃迁偶极矩的主要荧光基态。在量子产率低的地方,环上的等势面电荷分布不均匀、减少,甚至在环外也能发现。在pH 13时,吲哚胺去质子化,由于互变异构体结构将电荷集中在吲哚胺上,赖氨酸 - 色氨酸的量子产率极低;等势面电荷分布与吲哚HOMO几乎没有相似之处。对于吲哚氮形成氢键的蛋白质,已经观察到这种荧光大大减弱的情况,这也证明了蛋白质中芳香性变化与量子产率降低之间的关联。因此,色氨酸基态等势面是吲哚芳香性的一个指标,表明了激发能在辐射和非辐射过程之间的分配。

https://cdn.ncbi.nlm.nih.gov/pmc/blobs/dbdd/4165537/3658b189f618/jp-2014-03355h_0002.jpg

文献AI研究员

20分钟写一篇综述,助力文献阅读效率提升50倍。

立即体验

用中文搜PubMed

大模型驱动的PubMed中文搜索引擎

马上搜索

文档翻译

学术文献翻译模型,支持多种主流文档格式。

立即体验