Su Chih-Min, Cheng Hsien-Hung, Tsai Tsung-Cheng, Hsiao Sheng-Yuan, Tsai Nai-Wen, Chang Wen-Neng, Lin Wei-Che, Cheng Ben-Chung, Su Yu-Jih, Chang Ya-Ting, Chiang Yi-Fang, Kung Chia-Te, Lu Cheng-Hsien
Department of Biological Science, National Sun Yat-Sen University, Kaohsiung 80424, Taiwan ; Department of Emergency Medicine, Kaohsiung Chang Gung Memorial Hospital, Chang Gung University College of Medicine, No. 123, Ta Pei Road, Niao Sung Hsiang, Kaohsiung 833, Taiwan.
Department of Emergency Medicine, Kaohsiung Chang Gung Memorial Hospital, Chang Gung University College of Medicine, No. 123, Ta Pei Road, Niao Sung Hsiang, Kaohsiung 833, Taiwan.
Biomed Res Int. 2014;2014:598762. doi: 10.1155/2014/598762. Epub 2014 May 6.
Septic encephalopathy (SE) is a common complication of severe sepsis. Increased concentrations of circulating soluble adhesion molecules are reported in septic patients. This study aimed to determine whether serum adhesion molecules are associated with SE.
Seventy nontraumatic, nonsurgical adult patients with severe sepsis admitted through ER were evaluated. Serum adhesion molecules were assessed for their relationship with SE, and compared with other clinical predictors and biomarkers.
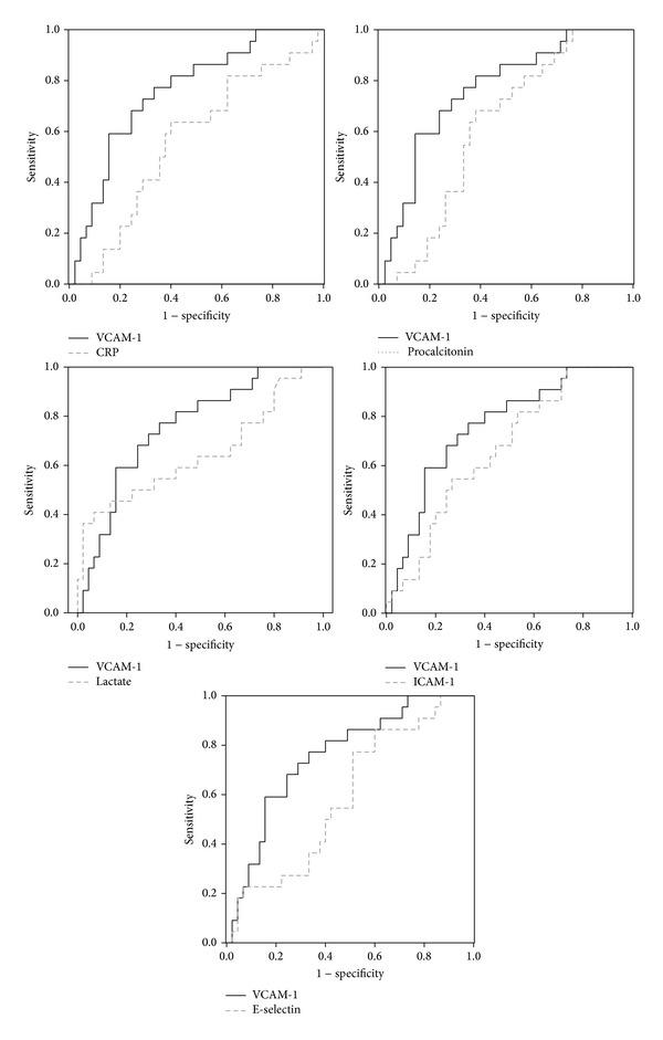
Twenty-three (32.8%) patients had SE. SE group had higher in-hospital mortality (40% versus 11%, P = 0.009) and their sVCAM-1, sICAM-1, and lactate levels on admission were also higher than non-SE group. By stepwise logistic regression model, sVCAM-1, age, and maximum 24-hours SOFA score were independently associated with septic encephalopathy. The AUC analysis of ROC curve of different biomarkers showed that sVCAM-1 is better to predict SE. The sVCAM-1 levels in the SE group were significantly higher than those of the non-SE group at three time periods (Days 1, 4, and 7).
Septic encephalopathy implies higher mortality in nontraumatic, nonsurgical patients with severe sepsis. VCAM-1 level on presentation is a more powerful predictor of SE in these patients than lactate concentration and other adhesion molecules on admission.
脓毒症脑病(SE)是严重脓毒症的常见并发症。据报道,脓毒症患者循环中可溶性黏附分子浓度升高。本研究旨在确定血清黏附分子是否与SE相关。
对70例通过急诊入院的非创伤性、非手术成年严重脓毒症患者进行评估。评估血清黏附分子与SE的关系,并与其他临床预测指标和生物标志物进行比较。
23例(32.8%)患者发生SE。SE组住院死亡率更高(40%对11%,P = 0.009),且其入院时的可溶性血管细胞黏附分子-1(sVCAM-1)、可溶性细胞间黏附分子-1(sICAM-1)和乳酸水平也高于非SE组。通过逐步逻辑回归模型,sVCAM-1、年龄和最大24小时序贯器官衰竭评估(SOFA)评分与脓毒症脑病独立相关。不同生物标志物的ROC曲线的AUC分析表明,sVCAM-1对SE的预测效果更好。在三个时间段(第1天、第4天和第7天),SE组的sVCAM-1水平显著高于非SE组。
脓毒症脑病意味着非创伤性、非手术严重脓毒症患者死亡率更高。在这些患者中,就诊时的血管细胞黏附分子-1(VCAM-1)水平比入院时的乳酸浓度和其他黏附分子更能有力地预测SE。