Long Si-Mei, Liang Feng-Yin, Wu Qi, Lu Xi-Lin, Yao Xiao-Li, Li Shi-Chang, Li Jing, Su Huanxing, Pang Ji-Yan, Pei Zhong
Department of Neurology, National Key Clinical Department and Key Discipline of Neurology, Guangdong Key Laboratory for Diagnosis and Treatment of Major Neurological Diseases, The First Affiliated Hospital, Sun Yat-sen University, Guangzhou 510080, China.
School of Chemistry & Chemical Engineering, Sun Yat-sen University, Guangzhou 510275, China.
Mar Drugs. 2014 May 30;12(6):3307-22. doi: 10.3390/md12063307.
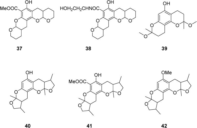
High-throughput behavior-based screen in zebrafish is a powerful approach for the discovery of novel neuroactive small molecules for treatment of nervous system diseases such as epilepsy. To identify neuroactive small molecules, we first screened 36 compounds (1-36) derived from marine natural products xyloketals and marine isoprenyl phenyl ether obtained from the mangrove fungus. Compound 1 demonstrated the most potent inhibition on the locomotor activity in larval zebrafish. Compounds 37-42 were further synthesized and their potential anti-epilepsy action was then examined in a PTZ-induced epilepsy model in zebrafish. Compound 1 and compounds 39, 40 and 41 could significantly attenuate PTZ-induced locomotor hyperactivity and elevation of c-fos mRNA in larval zebrafish. Compound 40 showed the most potent inhibitory action against PTZ-induced hyperactivity. The structure-activity analysis showed that the OH group at 12-position played a critical role and the substituents at the 13-position were well tolerated in the inhibitory activity of xyloketal derivatives. Thus, these derivatives may provide some novel drug candidates for the treatment of epilepsy.
基于行为的斑马鱼高通量筛选是发现用于治疗癫痫等神经系统疾病的新型神经活性小分子的有力方法。为了鉴定神经活性小分子,我们首先筛选了36种从海洋天然产物木栓酮和从红树林真菌中获得的海洋异戊烯基苯基醚衍生而来的化合物(1-36)。化合物1对斑马鱼幼体的运动活性表现出最强的抑制作用。进一步合成了化合物37-42,并在斑马鱼的戊四氮诱导癫痫模型中检测了它们潜在的抗癫痫作用。化合物1以及化合物39、40和41可显著减轻戊四氮诱导的斑马鱼幼体运动亢进和c-fos mRNA升高。化合物40对戊四氮诱导的运动亢进表现出最强的抑制作用。构效关系分析表明,12位的羟基起着关键作用,13位的取代基在木栓酮衍生物的抑制活性中具有良好的耐受性。因此,这些衍生物可能为癫痫治疗提供一些新型候选药物。