Suppr超能文献

新型 2-芳基烷基硫代-5-碘-6-取代苄基嘧啶-4(3H)-酮的合成及生物评价作为有效的 HIV-1 非核苷逆转录酶抑制剂。

Synthesis and biological evaluation of novel 2-arylalkylthio-5-iodine-6-substituted-benzyl-pyrimidine-4(3H)-ones as potent HIV-1 non-nucleoside reverse transcriptase inhibitors.

机构信息

Department of Chemical Biology, School of Pharmaceutical Sciences, Peking University, Beijing 100191, China.

出版信息

Molecules. 2014 May 30;19(6):7104-21. doi: 10.3390/molecules19067104.

Abstract

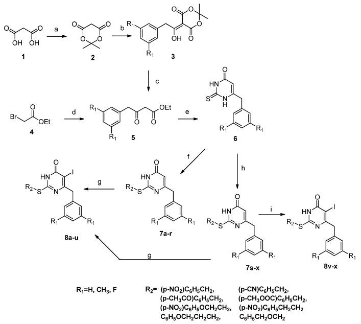
A novel series of 2-arylalkylthio-5-iodine-6-substitutedbenzyl-pyrimidine-4(3H)-ones (S-DABOs) 8a-x had been synthesized via an efficient method. Their biological activity against HIV virus and RT assay were evaluated. Some compounds, especially 8h, 8l and 8n, displayed promising activity against HIV-1 RT with IC50 values in a range of 0.41 μM to 0.71 μM, which were much better than that of nevirapine. Molecular modeling studies revealed that the binding mode would be affected via forming an additional hydrogen bond by incorporating an oxygen atom on the C-2 side chain. The biological activity was in accordance with the docking results.

摘要

一种新型的 2-芳基烷基硫代-5-碘-6-取代苄基嘧啶-4(3H)-酮(S-DABO)系列 8a-x 已通过一种有效的方法合成。评估了它们对 HIV 病毒和 RT 测定的生物活性。一些化合物,特别是 8h、8l 和 8n,对 HIV-1 RT 表现出有希望的活性,IC50 值在 0.41 μM 到 0.71 μM 范围内,优于奈韦拉平。分子建模研究表明,通过在 C-2 侧链上引入一个氧原子形成额外的氢键,结合模式将会受到影响。生物活性与对接结果一致。

https://cdn.ncbi.nlm.nih.gov/pmc/blobs/c661/6271041/3ed208519f47/molecules-19-07104-g001.jpg

文献AI研究员

20分钟写一篇综述,助力文献阅读效率提升50倍。

立即体验

用中文搜PubMed

大模型驱动的PubMed中文搜索引擎

马上搜索

文档翻译

学术文献翻译模型,支持多种主流文档格式。

立即体验