Suppr超能文献

在地形学基质上培养人微血管内皮细胞以模拟人角膜内皮。

Cultivation of human microvascular endothelial cells on topographical substrates to mimic the human corneal endothelium.

作者信息

Chua Jie Shi, Liew Li Xiang, Yim Evelyn K F

机构信息

T-Lab, #05-01, The Mechanobiology Institute Singapore, National University of Singapore, 5A Engineering Drive 1, 117411, Singapore.

Department of Bioengineering, National University of Singapore, EA-03-12, 9 Engineering Drive 1, 117576,Singapore.

出版信息

J Funct Biomater. 2013 Mar 21;4(1):38-58. doi: 10.3390/jfb4010038.

Abstract

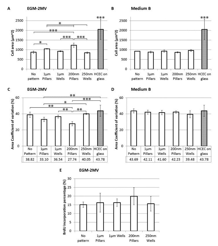
Human corneal endothelial cells have a limited ability to replicate in vivo and in vitro. Allograft transplantation becomes necessary when an accident or trauma results in excessive cell loss. The reconstruction of the cornea endothelium using autologous cell sources is a promising alternative option for therapeutic or in vitro drug testing applications. The native corneal endothelium rests on the Descemet's membrane, which has nanotopographies of fibers and pores. The use of synthetic topographies mimics the native environment, and it is hypothesized that this can direct the behavior and growth of human microvascular endothelial cells (HMVECs) to resemble the corneal endothelium. In this study, HMVECs are cultivated on substrates with micron and nano-scaled pillar and well topographies. Closely packed HMVEC monolayers with polygonal cells and well-developed tight junctions were formed on the topographical substrates. Sodium/potassium (Na+/K+) adenine triphosphatase (ATPase) expression was enhanced on the microwells substrate, which also promotes microvilli formation, while more hexagonal-like cells are found on the micropillars samples. The data obtained suggests that the use of optimized surface patterning, in particular, the microtopographies, can induce HMVECs to adopt a more corneal endothelium-like morphology with similar barrier and pump functions. The mechanism involved in cell contact guidance by the specific topographical features will be of interest for future studies.

摘要

人角膜内皮细胞在体内和体外的复制能力有限。当意外事故或创伤导致细胞过度损失时,同种异体移植就变得必要。利用自体细胞来源重建角膜内皮是治疗或体外药物测试应用中一种有前景的替代选择。天然角膜内皮位于Descemet膜上,该膜具有纤维和孔隙的纳米拓扑结构。使用合成拓扑结构可模拟天然环境,据推测这可以引导人微血管内皮细胞(HMVECs)的行为和生长,使其类似于角膜内皮。在本研究中,将HMVECs培养在具有微米和纳米尺度柱和孔拓扑结构的基质上。在拓扑基质上形成了紧密堆积的HMVEC单层,细胞呈多边形且紧密连接发达。在微孔基质上钠/钾(Na+/K+)腺苷三磷酸酶(ATPase)表达增强,这也促进微绒毛形成,而在微柱样品上发现更多六边形样细胞。所获得的数据表明,使用优化的表面图案,特别是微拓扑结构,可以诱导HMVECs呈现更类似角膜内皮的形态,并具有相似的屏障和泵功能。特定拓扑特征引导细胞接触的机制将是未来研究的关注点。

https://cdn.ncbi.nlm.nih.gov/pmc/blobs/7605/4030909/9c9637e3e511/jfb-04-00038-g001.jpg

文献检索

告别复杂PubMed语法,用中文像聊天一样搜索,搜遍4000万医学文献。AI智能推荐,让科研检索更轻松。

立即免费搜索

文件翻译

保留排版,准确专业,支持PDF/Word/PPT等文件格式,支持 12+语言互译。

免费翻译文档

深度研究

AI帮你快速写综述,25分钟生成高质量综述,智能提取关键信息,辅助科研写作。

立即免费体验