Suppr超能文献

锂金属与聚环氧乙烷18锂双(三氟甲磺酰)亚胺-四甘醇二甲醚复合聚合物电解质之间的界面性质

Interface Properties between Lithium Metal and a Composite Polymer Electrolyte of PEO18Li(CF3SO2)2N-Tetraethylene Glycol Dimethyl Ether.

作者信息

Wang Hui, Matsui Masaki, Takeda Yasuo, Yamamoto Osamu, Im Dongmin, Lee Dongjoon, Imanishi Nobuyuki

机构信息

Graduate School of Engineering, Mie University, Tsu, Mie 514-8507, Japan.

Samsung Advanced Institute of Technology, Samsung Electronics, Yongin 446-712, Korea.

出版信息

Membranes (Basel). 2013 Oct 25;3(4):298-310. doi: 10.3390/membranes3040298.

Abstract

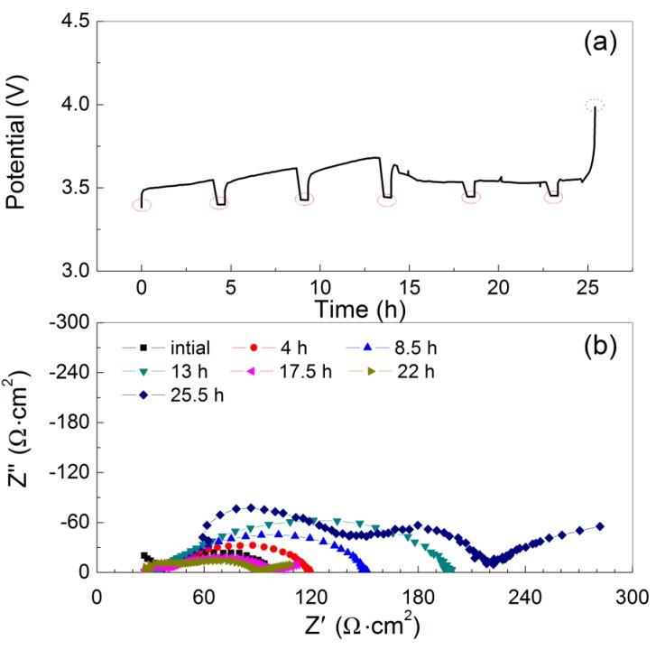
The electrochemical properties of a composite solid polymer electrolyte, consisting of poly(ethylene oxide) (PEO)-lithium bis(trifluoromethanesulfonyl)imide (LiTFSI) and tetraethylene glycol dimethyl ether (TEGDME) was examined as a protective layer between lithium metal and a water-stable lithium ion-conducting glass ceramic of Li1+x+y(Ti,Ge)2-xAlxP3-ySiyO12 (LTAP). The lithium ion conductivity and salt diffusion coefficient of PEO18LiTFSI were dramatically enhanced by the addition of TEGDME. The water-stable lithium electrode with PEO18LiTFSI-2TEGDME, as the protective layer, exhibited a low and stable electrode resistance of 85 Ω·cm2 at 60 °C, after 28 days, and low overpotentials of 0.3 V for lithium plating and 0.4 V for lithium stripping at 4.0 mA·cm-2 and 60 °C. A Li/PEO18LiTFSI-2TEGDME/LTAP/saturated LiCl aqueous solution/Pt, air cell showed excellent cyclability up to 100 cycles at 2.0 mAh·cm-2.

摘要

研究了一种复合固体聚合物电解质的电化学性能,该电解质由聚环氧乙烷(PEO)-双(三氟甲烷磺酰)亚胺锂(LiTFSI)和四甘醇二甲醚(TEGDME)组成,用作锂金属与水稳定的锂离子传导玻璃陶瓷Li1+x+y(Ti,Ge)2-xAlxP3-ySiyO12(LTAP)之间的保护层。添加TEGDME后,PEO18LiTFSI的锂离子电导率和盐扩散系数显著提高。以PEO18LiTFSI-2TEGDME作为保护层的水稳定锂电极,在60°C下放置28天后,表现出低且稳定的电极电阻,为85Ω·cm2,在4.0 mA·cm-2和60°C下锂电镀的过电位为0.3 V,锂剥离的过电位为0.4 V。Li/PEO18LiTFSI-2TEGDME/LTAP/饱和LiCl水溶液/Pt空气电池在2.0 mAh·cm-2下循环100次仍具有优异的循环性能。

https://cdn.ncbi.nlm.nih.gov/pmc/blobs/70c5/4021947/72099eb4e8a3/membranes-03-00298-g001.jpg

文献AI研究员

20分钟写一篇综述,助力文献阅读效率提升50倍。

立即体验

用中文搜PubMed

大模型驱动的PubMed中文搜索引擎

马上搜索

文档翻译

学术文献翻译模型,支持多种主流文档格式。

立即体验