Sun Qi, Jiménez Monik C, Townsend Mary K, Rimm Eric B, Manson JoAnn E, Albert Christine M, Rexrode Kathryn M
Channing Division of Network Medicine, Department of Medicine, Brigham and Women's Hospital and Harvard Medical School, Boston, MA (Q.S., M.K.T., E.B.R., J.A.E.M.) Department of Nutrition, Harvard School of Public Health, Boston, MA (Q.S., E.B.R.).
Division of Preventive Medicine, Department of Medicine, Brigham and Women's Hospital and Harvard Medical School, Boston, MA (M.C.J., J.A.E.M., C.M.A., K.M.R.).
J Am Heart Assoc. 2014 Jun 24;3(3):e000939. doi: 10.1161/JAHA.114.000939.
Fetuin-A may be involved in the etiology of coronary heart disease (CHD) through opposing pathways (ie, promoting insulin resistance and inhibiting ectopic calcification). We aimed to explicitly examine whether systemic inflammation, a factor leading to elevated vascular calcification, may modify the association between fetuin-A and CHD risk.
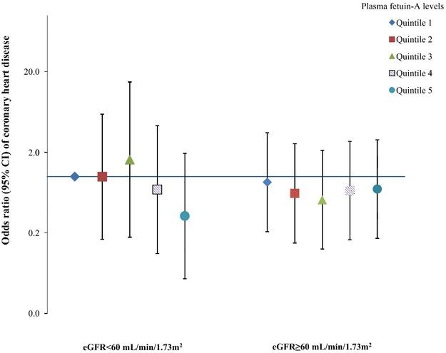
During 16 years of follow-up (1990-2006), we prospectively identified and confirmed 466 incident fatal or nonfatal CHD case in the Nurses' Health Study. For each case, 1 healthy control was selected using risk-set sampling from 26 245 eligible participants. Cases and controls were matched for age, smoking status, fasting status, and date of blood draw. After multivariate adjustment for lifestyle factors, body mass index, diet, and blood lipids, fetuin-A levels were not associated with CHD risk in the whole population: odds ratio (OR) (95% CI) comparing extreme quintiles of fetuin-A was 0.79 (0.44 to 1.40). However, a significant inverse association was observed among participants with higher C-reactive protein levels (Pinteraction=0.04). The OR (95% CI) comparing highest versus lowest quintiles of fetuin-A was 0.50 (0.26 to 0.97; Ptrend=0.004) when C-reactive protein levels were above population median (0.20 mg/dL), whereas among the remainder of the participants, the corresponding OR (95% CI) was 1.09 (0.58 to 2.05; Ptrend=0.75).
In this population of US women, fetuin-A levels were associated with lower CHD risk when C-reactive protein levels were high, but null association was observed among participants with lower C-reactive protein levels. This divergent pattern of association needs replication in future studies.
胎球蛋白-A可能通过相反的途径(即促进胰岛素抵抗和抑制异位钙化)参与冠心病(CHD)的病因。我们旨在明确研究导致血管钙化升高的全身性炎症因素是否会改变胎球蛋白-A与冠心病风险之间的关联。
在16年的随访期间(1990 - 2006年),我们在护士健康研究中前瞻性地识别并确认了466例致命或非致命冠心病新发病例。对于每例病例,从26245名符合条件的参与者中使用风险集抽样选择1名健康对照。病例和对照在年龄、吸烟状况、空腹状态和采血日期方面进行匹配。在对生活方式因素、体重指数、饮食和血脂进行多变量调整后,胎球蛋白-A水平与整个人群的冠心病风险无关:比较胎球蛋白-A极端五分位数的优势比(OR)(95%可信区间)为0.79(0.44至1.40)。然而,在C反应蛋白水平较高的参与者中观察到显著的负相关(P交互作用 = 0.04)。当C反应蛋白水平高于人群中位数(0.20 mg/dL)时,比较胎球蛋白-A最高与最低五分位数的OR(95%可信区间)为0.50(0.26至0.97;P趋势 = 0.004),而在其余参与者中,相应的OR(95%可信区间)为1.09(0.58至2.05;P趋势 = 0.75)。
在这群美国女性中,当C反应蛋白水平较高时,胎球蛋白-A水平与较低的冠心病风险相关,但在C反应蛋白水平较低的参与者中观察到无关联。这种不同的关联模式需要在未来的研究中进行重复验证。