Suppr超能文献

通过三维超声测量,较高的胎球蛋白-A基线水平与较低的动脉粥样硬化斑块进展相关。

High baseline fetuin-A levels are associated with lower atherosclerotic plaque progression as measured by 3D ultrasound.

作者信息

Sommer Philip, Schreinlechner Michael, Noflatscher Maria, Lener Daniela, Mair Fabian, Theurl Markus, Kirchmair Rudolf, Marschang Peter

机构信息

Department of Internal Medicine I (Gastroenterology, Hepatology and Endocrinology), Medical University of Innsbruck, Anichstraße. 35, A-6020, Innsbruck, Austria.

Department of Internal Medicine III (Cardiology, Angiology), Medical University of Innsbruck, Anichstr. 35, A-6020, Innsbruck, Austria.

出版信息

Atheroscler Plus. 2021 Sep 21;45:10-17. doi: 10.1016/j.athplu.2021.09.001. eCollection 2021 Nov.

Abstract

BACKGROUND AND AIMS

The glycoprotein fetuin-A has anti-inflammatory effects, increases insulin resistance and plays an important role in calcium metabolism. The aim of our study was to assess the predictive value of fetuin-A on atherosclerotic plaque progression in comparison to the established cardiovascular biomarker high sensitivity C-reactive protein (hsCRP).

METHODS

In this prospective, single center-, cohort study, we included 194 patients with at least one cardiovascular risk factor or established cardiovascular disease (CVD). Over a period of 4 years, each patient underwent 3D plaque volumetry of the carotid and femoral arteries on a yearly basis. To evaluate the predictive value of biomarkers in terms of plaque progression, the baseline values of fetuin-A and hsCRP were correlated with the plaque progression from baseline to the last follow up visit.

RESULTS

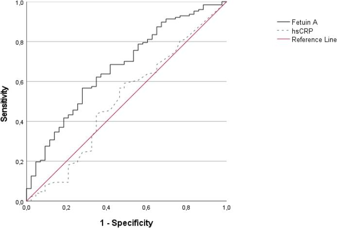
171 patients were included in the final analysis. Baseline fetuin-A levels showed a significant negative correlation with plaque progression (r = -0.244; p = 0.001). In contrast, baseline hsCRP levels showed no correlation with plaque progression (r = 0.096, p = 0.20). In the ROC-analysis, fetuin-A had a significantly better predictive value than hsCRP (fetuin-A AUC 0.67; p = 0.001 vs hsCRP AUC 0.49; p = 0.88) with an optimal cut-off value at 712 μg/ml. In patients with high fetuin A levels (>712 μg/ml), a significantly lower plaque progression was observed compared to the group with low fetuin-A levels <712 μg/ml (high fetuin-A 197 mm vs. low fetuin-A 279 mm; p = 0.01).

CONCLUSIONS

Higher fetuin-A levels appear to predict lower atherosclerotic plaque progression in patients with or at risk of cardiovascular disease.

摘要

背景与目的

糖蛋白胎球蛋白-A具有抗炎作用,会增加胰岛素抵抗,并在钙代谢中发挥重要作用。我们研究的目的是评估与已确立的心血管生物标志物高敏C反应蛋白(hsCRP)相比,胎球蛋白-A对动脉粥样硬化斑块进展的预测价值。

方法

在这项前瞻性、单中心队列研究中,我们纳入了194例至少有一项心血管危险因素或已确诊心血管疾病(CVD)的患者。在4年的时间里,每位患者每年接受一次颈动脉和股动脉的三维斑块容积测量。为了评估生物标志物在斑块进展方面的预测价值,将胎球蛋白-A和hsCRP的基线值与从基线到最后一次随访的斑块进展情况进行关联分析。

结果

171例患者纳入最终分析。基线胎球蛋白-A水平与斑块进展呈显著负相关(r = -0.244;p = 0.001)。相比之下,基线hsCRP水平与斑块进展无相关性(r = 0.096,p = 0.20)。在ROC分析中,胎球蛋白-A的预测价值显著优于hsCRP(胎球蛋白-A的AUC为0.67;p = 0.001,而hsCRP的AUC为0.49;p = 0.88),最佳截断值为712μg/ml。与胎球蛋白-A水平低(<712μg/ml)的组相比,胎球蛋白-A水平高(>712μg/ml)的患者斑块进展明显更低(高胎球蛋白-A组为197mm,低胎球蛋白-A组为279mm;p = 0.01)。

结论

较高的胎球蛋白-A水平似乎可预测心血管疾病患者或有心血管疾病风险患者的动脉粥样硬化斑块进展较低。

https://cdn.ncbi.nlm.nih.gov/pmc/blobs/54b3/9833218/41e734196ece/gr1.jpg

相似文献

1
High baseline fetuin-A levels are associated with lower atherosclerotic plaque progression as measured by 3D ultrasound.
Atheroscler Plus. 2021 Sep 21;45:10-17. doi: 10.1016/j.athplu.2021.09.001. eCollection 2021 Nov.
10

引用本文的文献

1
The impact of fetuin-A on predicting aortic arch calcification: secondary analysis of a community-based survey.
Front Cardiovasc Med. 2024 Jul 8;11:1415438. doi: 10.3389/fcvm.2024.1415438. eCollection 2024.
2
The Relationship of Fetuin-A with Coronary Calcification, Carotid Atherosclerosis, and Mortality Risk in Non-Dialysis Chronic Kidney Disease.
J Lipid Atheroscler. 2024 May;13(2):194-211. doi: 10.12997/jla.2024.13.2.194. Epub 2024 Mar 7.
4
5
Fetuin-A and risk of diabetes-related vascular complications: a prospective study.
Cardiovasc Diabetol. 2022 Jan 8;21(1):6. doi: 10.1186/s12933-021-01439-8.

本文引用的文献

4
Association between fetuin-A and prognosis of CAD: A systematic review and meta-analysis.
Eur J Clin Invest. 2019 May;49(5):e13091. doi: 10.1111/eci.13091. Epub 2019 Mar 12.
6
Lower Plasma Fetuin-A Levels Are Associated With a Higher Mortality Risk in Patients With Coronary Artery Disease.
Arterioscler Thromb Vasc Biol. 2017 Nov;37(11):2213-2219. doi: 10.1161/ATVBAHA.117.309700. Epub 2017 Sep 14.
8
Facilitatory effects of fetuin-A on atherosclerosis.
Atherosclerosis. 2016 Mar;246:344-51. doi: 10.1016/j.atherosclerosis.2016.01.037. Epub 2016 Jan 22.
9
Plasma levels of fetuin-A and risk of coronary heart disease in US women: the Nurses' Health Study.
J Am Heart Assoc. 2014 Jun 24;3(3):e000939. doi: 10.1161/JAHA.114.000939.
10
Fetuin-A, type 2 diabetes, and risk of cardiovascular disease in older adults: the cardiovascular health study.
Diabetes Care. 2013 May;36(5):1222-8. doi: 10.2337/dc12-1591. Epub 2012 Dec 18.

文献AI研究员

20分钟写一篇综述,助力文献阅读效率提升50倍。

立即体验

用中文搜PubMed

大模型驱动的PubMed中文搜索引擎

马上搜索

文档翻译

学术文献翻译模型,支持多种主流文档格式。

立即体验