Gritzfeld J F, Cremers A J H, Ferwerda G, Ferreira D M, Kadioglu A, Hermans P W M, Gordon S B
Respiratory Infection Group, Liverpool School of Tropical Medicine, Liverpool, UK.
Clin Microbiol Infect. 2014 Dec;20(12):O1145-51. doi: 10.1111/1469-0691.12752. Epub 2014 Aug 11.
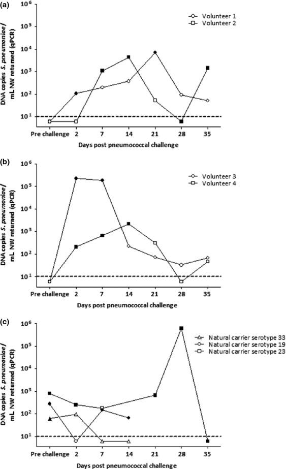
The density and duration of pneumococcal carriage are considered to affect the likelihood of transmission and invasive disease. Because of its importance in both spreading and causing disease, carriage has been suggested as an endpoint in future vaccine studies. Culture is the current gold standard for detection, but may not be sensitive enough to detect changes at low density. Healthy adult volunteers received an intranasal inoculation of Streptococcus pneumoniae serotype 6B. Pneumococcal density in nasal washes collected at six time-points post-inoculation was determined by culture and quantitative PCR (qPCR). Natural pneumococcal carriers detected at initial screening were followed in parallel. In 331 nasal washes from 79 volunteers, the sensitivity and specificity of pneumococcal detection by qPCR, as compared with culture, were 92.3% and 75.9%. The estimation of pneumococcal density by culture and qPCR was highly correlated (rs = 0.73, p <0.0001), although qPCR had a lower detection limit. Pneumococcal density fluctuated within a carriage episode, and occasionally fell below the detection limit of both methods. The duration of carriage episodes was underestimated when only one method was used. Similar fluctuations in density were observed in natural carriers. Pneumococcal carriage is a dynamic event. Culture and qPCR are complementary for surveying the density and duration of pneumococcal carriage episodes.
肺炎球菌携带的密度和持续时间被认为会影响传播和侵袭性疾病的可能性。由于其在传播和致病方面的重要性,携带已被提议作为未来疫苗研究的一个终点。培养是目前检测的金标准,但可能不够灵敏,无法检测到低密度时的变化。健康成年志愿者接受了6B型肺炎链球菌的鼻内接种。通过培养和定量PCR(qPCR)测定接种后六个时间点收集的鼻洗液中的肺炎球菌密度。对初次筛查时检测到的自然肺炎球菌携带者进行了平行跟踪。在来自79名志愿者的331份鼻洗液中,与培养相比,qPCR检测肺炎球菌的灵敏度和特异性分别为92.3%和75.9%。尽管qPCR的检测限较低,但通过培养和qPCR对肺炎球菌密度的估计高度相关(rs = 0.73,p <0.0001)。肺炎球菌密度在携带期间会波动,偶尔会降至两种方法的检测限以下。仅使用一种方法时,携带期的持续时间会被低估。在自然携带者中也观察到了类似的密度波动。肺炎球菌携带是一个动态事件。培养和qPCR在调查肺炎球菌携带期的密度和持续时间方面具有互补性。