Suppr超能文献

晚期癌症伴p53突变患者的特征与生存情况

Characteristics and survival of patients with advanced cancer and p53 mutations.

作者信息

Said Rabih, Ye Yang, Hong David S, Janku Filip, Fu Siqing, Naing Aung, Wheler Jennifer J, Kurzrock Razelle, Thomas Christoforos, Palmer Gary A, Hess Kenneth R, Aldape Kenneth, Tsimberidou Apostolia M

机构信息

Department of Investigational Cancer Therapeutics (Phase I Clinical Trials Program), The University of Texas MD Anderson Cancer Center, Houston, TX; Department of Internal Medicine, Oncology Division, The University of Texas Health Sciences Center, Houston, TX.

Department of Investigational Cancer Therapeutics (Phase I Clinical Trials Program), The University of Texas MD Anderson Cancer Center, Houston, TX.

出版信息

Oncotarget. 2014 Jun 15;5(11):3871-9. doi: 10.18632/oncotarget.2004.

Abstract

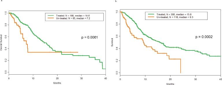
P53 mutations are associated with invasive tumors in mouse models. We assessed the p53mutations and survival in patients with advanced cancer treated in the Phase I Program. Of 691 tested patients, 273 (39.5%) had p53 mutations. Patients with p53 mutations were older (p<.0001) and had higher numbers of liver metastases (p=.005). P53 mutations were associated with higher numbers of other aberrations; PTEN (p=.0005) and HER2 (p=.003)aberrations were more common in the p53 mutation group. No survival difference was observed between patients with p53 mutations and those with wild-type p53. In patients with wild-type p53 and other aberrations, patients treated with matched-therapy against the additional aberrations had longer survival compared to those treated with non-matched-therapy or those who received no therapy (median survival, 26.0 vs. 11.8 vs. 9.8 months, respectively; p= .0007). Results were confirmed in a multivariate analysis (p= .0002). In the p53 mutation group with additional aberrations, those who received matched-therapy against the additional aberrations had survival similar to those treated with non-matched-therapy or those who received no therapy (p=.15). In conclusion, our results demonstrated resistance to matched-targeted therapy to the other aberrations in patients with p53 mutations and emphasize the need to overcome this resistance.

摘要

在小鼠模型中,P53突变与侵袭性肿瘤相关。我们评估了在I期项目中接受治疗的晚期癌症患者的P53突变情况及生存率。在691名接受检测的患者中,273名(39.5%)存在P53突变。P53突变的患者年龄更大(p<0.0001)且肝转移数量更多(p=0.005)。P53突变与更多其他畸变相关;PTEN(p=0.0005)和HER2(p=0.003)畸变在P53突变组中更常见。P53突变患者与野生型P53患者之间未观察到生存差异。在野生型P53且存在其他畸变的患者中,接受针对额外畸变的匹配治疗的患者比接受非匹配治疗或未接受治疗的患者生存期更长(中位生存期分别为26.0个月、11.8个月和9.8个月;p=0.0007)。多变量分析证实了该结果(p=0.0002)。在存在额外畸变的P53突变组中,接受针对额外畸变的匹配治疗的患者的生存率与接受非匹配治疗或未接受治疗的患者相似(p=0.15)。总之,我们的结果表明P53突变患者对针对其他畸变的匹配靶向治疗具有抗性,并强调需要克服这种抗性。

https://cdn.ncbi.nlm.nih.gov/pmc/blobs/24d9/4116527/95f6900d3add/oncotarget-05-3871-g001.jpg

文献检索

告别复杂PubMed语法,用中文像聊天一样搜索,搜遍4000万医学文献。AI智能推荐,让科研检索更轻松。

立即免费搜索

文件翻译

保留排版,准确专业,支持PDF/Word/PPT等文件格式,支持 12+语言互译。

免费翻译文档

深度研究

AI帮你快速写综述,25分钟生成高质量综述,智能提取关键信息,辅助科研写作。

立即免费体验