Suppr超能文献

2型糖尿病患者维生素B12缺乏与二甲双胍使用的关联

Association of vitamin B12 deficiency and metformin use in patients with type 2 diabetes.

作者信息

Ko Sun-Hye, Ko Sun-Hee, Ahn Yu-Bae, Song Ki-Ho, Han Kyung-Do, Park Yong-Moon, Ko Seung-Hyun, Kim Hye-Soo

机构信息

Division of Endocrinology & Metabolism, Department of Internal Medicine, College of Medicine, The Catholic University of Korea, Seoul, Korea.

Department of Biostatistics, College of Medicine, The Catholic University of Korea, Seoul, Korea.

出版信息

J Korean Med Sci. 2014 Jul;29(7):965-72. doi: 10.3346/jkms.2014.29.7.965. Epub 2014 Jul 11.

Abstract

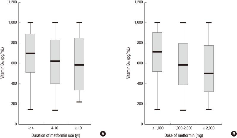
We evaluated the prevalence of vitamin B12 deficiency and associated factors in type 2 diabetes patients using metformin. A total of 799 type 2 diabetes patients using metformin was enrolled. Vitamin B12 and folate levels were quantified by chemiluminescent enzyme immunoassay. Vitamin B12 deficiency was defined as vitamin B12 ≤ 300 pg/mL without folate deficiency (folate > 4 ng/mL). The prevalence of vitamin B12 deficiency in metformin-treated type 2 diabetes patients was 9.5% (n = 76), and the mean vitamin B12 level was 662.5 ± 246.7 pg/mL. Vitamin B12 deficient patients had longer duration of metformin use (P < 0.001) and higher daily metformin dose (P < 0.001) than non-deficient patients. Compared with daily metformin dose of ≤ 1,000 mg, the adjusted odds ratio for 1,000-2,000 mg, and ≥ 2,000 mg were 2.52 (95% CI, 1.27-4.99, P = 0.008) and 3.80 (95% CI, 1.82-7.92, P < 0.001). Compared with metformin use of < 4 yr, the adjusted odds ratios for 4-10 yr, and ≥ 10 yr were 4.65 (95% CI, 2.36-9.16, P < 0.001) and 9.21 (95% CI, 3.38-25.11, P < 0.001), respectively. In conclusion, our study indicates that patients with type 2 diabetes treated with metformin should be screened for vitamin B12 deficiency, especially at higher dosages (> 1,000 mg) and longer durations (≥ 4 yr) of treatment.

摘要

我们评估了使用二甲双胍的2型糖尿病患者维生素B12缺乏症的患病率及相关因素。共纳入了799名使用二甲双胍的2型糖尿病患者。采用化学发光酶免疫分析法对维生素B12和叶酸水平进行定量检测。维生素B12缺乏症定义为维生素B12≤300 pg/mL且无叶酸缺乏(叶酸>4 ng/mL)。使用二甲双胍治疗的2型糖尿病患者中维生素B12缺乏症的患病率为9.5%(n = 76),维生素B12的平均水平为662.5±246.7 pg/mL。维生素B12缺乏的患者使用二甲双胍的时间更长(P<0.001),且每日二甲双胍剂量更高(P<0.001)。与每日二甲双胍剂量≤1000 mg相比,1000 - 2000 mg及≥2000 mg的校正比值比分别为2.52(95%CI,1.27 - 4.99,P = 0.008)和3.80(95%CI,1.82 - 7.92,P<0.001)。与二甲双胍使用时间<4年相比,4 - 10年及≥10年的校正比值比分别为4.65(95%CI,2.36 - 9.16,P<0.001)和9.21(95%CI,3.38 - 25.11,P<0.001)。总之,我们的研究表明,使用二甲双胍治疗的2型糖尿病患者应筛查维生素B12缺乏症,尤其是在较高剂量(>1000 mg)和较长治疗时间(≥4年)时。

https://cdn.ncbi.nlm.nih.gov/pmc/blobs/0136/4101785/4b54a1b9d384/jkms-29-965-g001.jpg

文献AI研究员

20分钟写一篇综述,助力文献阅读效率提升50倍。

立即体验

用中文搜PubMed

大模型驱动的PubMed中文搜索引擎

马上搜索

文档翻译

学术文献翻译模型,支持多种主流文档格式。

立即体验