Suppr超能文献

围产期铅暴露对幼年和成年大鼠心血管影响的联合治疗

Combination therapy for the cardiovascular effects of perinatal lead exposure in young and adult rats.

作者信息

Gaspar Andréia Fresneda, Cordellini Sandra

机构信息

Departamento de Farmacologia, Instituto de Biociências, Universidade Estadual Paulista, Botucatu, SP, Brazil.

出版信息

Arq Bras Cardiol. 2014 Sep;103(3):219-30. doi: 10.5935/abc.20140103. Epub 2014 Jul 29.

Abstract

BACKGROUND

Combination therapy can play a significant role in the amelioration of several toxic effects of lead (Pb) and recovery from associated cardiovascular changes.

OBJECTIVE

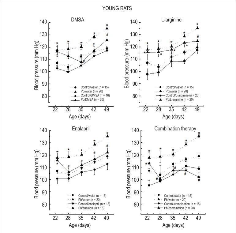
To investigate the effects of combination therapy on the cardiovascular effects of perinatal lead exposure in young and adult rats Methods: Female Wistar rats received drinking water with or without 500 ppm of Pb during pregnancy and lactation. Twenty-two- and 70-day-old rat offspring who were or were not exposed to Pb in the perinatal period received meso-dimercaptosuccinic acid (DMSA), L-arginine, or enalapril and a combination of these compounds for 30 additional days. Noradrenaline response curves were plotted for intact and denuded aortas from 23-, 52-, 70-, and 100-day-old rats stratified by perinatal Pb exposure (exposed/unexposed) and treatment received (treated/untreated).

RESULTS

Systolic blood pressure was evaluated and shown to be higher in the 23-, 52-, 70-, and 100-day age groups with Pb exposure than in the corresponding control age groups: 117.8 ± 3.9*, 135.2 ± 1.3*, 139.6 ± 1.6*, and 131.7 ± 2.8*, respectively and 107.1 ± 1.8, 118.8 ± 2.1, 126.1 ± 1.1, and 120.5 ± 2.2, respectively (p < 0.05). Increased reactivity to noradrenaline was observed in intact, but not denuded, aortas from 52-, 70-, and 100-day-old exposed rats, and the maximum responses (g of tension) in the respective Pb-exposed and control age groups were as follows: 3.43 ± 0.16*, 4.32 ± 0.18*, and 4.21 ± 0.23*, respectively and 2.38 ± 0.33, 3.37 ± 0.13, and 3.22 ± 0.21, respectively (p < 0.05).

CONCLUSIONS

All treatments reversed the changes in vascular reactivity to noradrenaline in rats perinatally exposed to Pb. The combination therapy resulted in an earlier restoration of blood pressure in Pb-exposed rats compared with the monotherapies, except for enalapril therapy in young rats. These findings represent a new approach to the development of therapeutic protocols for the treatment of Pb-induced hypertension.

摘要

背景

联合治疗在减轻铅(Pb)的多种毒性作用以及从相关心血管变化中恢复方面可发挥重要作用。

目的

研究联合治疗对幼年和成年大鼠围产期铅暴露所致心血管影响的作用。

方法

雌性Wistar大鼠在妊娠和哺乳期饮用含或不含500 ppm铅的水。围产期暴露或未暴露于铅的22日龄和70日龄大鼠后代再接受30天的中 - 二巯基琥珀酸(DMSA)、L - 精氨酸、依那普利或这些化合物的组合治疗。绘制23日龄、52日龄、70日龄和100日龄大鼠完整和去内皮主动脉的去甲肾上腺素反应曲线,这些大鼠按围产期铅暴露情况(暴露/未暴露)和接受的治疗(治疗/未治疗)进行分层。

结果

评估收缩压发现,铅暴露的23日龄、52日龄、70日龄和100日龄年龄组的收缩压高于相应的对照年龄组,分别为117.8±3.9*、135.2±1.3*、139.6±1.6和131.7±2.8,而对照年龄组分别为107.1±1.8、118.8±2.1、126.1±1.1和120.5±2.2(p<0.05)。在52日龄、70日龄和100日龄铅暴露大鼠的完整但非去内皮的主动脉中观察到对去甲肾上腺素的反应性增加,各铅暴露和对照年龄组的最大反应(张力克数)如下:分别为3.43±0.16*、4.32±0.18和4.21±0.23,而对照年龄组分别为2.38±0.33、3.37±0.13和3.22±0.21(p<0.05)。

结论

所有治疗均逆转了围产期暴露于铅的大鼠血管对去甲肾上腺素反应性的变化。与单一疗法相比,联合治疗使铅暴露大鼠的血压恢复得更早,但幼鼠接受依那普利治疗的情况除外。这些发现代表了一种开发治疗铅诱导高血压治疗方案的新方法。

https://cdn.ncbi.nlm.nih.gov/pmc/blobs/c5b6/4193069/ca00999c34ec/abc-103-03-0219-g01.jpg

文献AI研究员

20分钟写一篇综述,助力文献阅读效率提升50倍。

立即体验

用中文搜PubMed

大模型驱动的PubMed中文搜索引擎

马上搜索

文档翻译

学术文献翻译模型,支持多种主流文档格式。

立即体验