Suppr超能文献

肺癌的标准肺切除术与扩大肺切除术:真正重要的是什么?

Standard versus extended pneumonectomy for lung cancer: what really matters?

作者信息

Subotic Dragan, Savic Milan, Atanasijadis Nikola, Gajic Milan, Stojsic Jelena, Popovic Marko, Milenkovic Vladimir, Garabinovic Zeljko

机构信息

Clinic for Thoracic Surgery, Clinical Center of Serbia, University of Belgrade School of Medicine, Koste Todorovica 26, 11000 Belgrade, Serbia.

出版信息

World J Surg Oncol. 2014 Aug 3;12:248. doi: 10.1186/1477-7819-12-248.

Abstract

BACKGROUND

It is still not clear whether an intrapericardial pneumonectomy indicates a more advanced stage of the disease compared to a standard pneumonectomy.

METHODS

This was a retrospective study of 164 patients who underwent a pneumonectomy for lung cancer. The first group consisted of 82 patients who had a standard pneumonectomy and the second group was 38 patients who had a intrapericardial pneumonectomy, for both groups in the latest 5-year period. The third group was 44 patients with had a sleeve pneumonectomy in the latest 10-year period. The groups were compared in relation to the overall and stage-related survival, influence of T and N factors, operative morbidity and mortality. The statistics used were Kaplan-Meier, U-test, t-test, χ2 test.

RESULTS

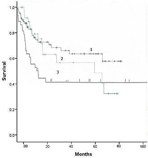
There was no statistically significant difference in stage distribution between standard and intrapericardial pneumonectomies; stages I, II, IIIA and IIIB occurred for 10.9% vs. 2.6%, 30.5% vs. 26.3%, 46.4% vs. 65.8% and 12.2% vs. 5.3% of patients, respectively. For patients who had a sleeve pneumonectomy, stage IIIA was significantly more frequent. Although the overall survival (63.5% vs. 57.6%) and stage-related 5-year survival were better in the first compared to the second group, especially for stage IIIA (58.6% vs. 42.6%), these differences were not statistically significant. There were no significant differences in operative morbidity and mortality between groups 1 and 2, but both were significantly higher in the third group (35.7% and 15.9%).

CONCLUSIONS

An intrapericardial pneumonectomy does not always indicate a more advanced stage of the disease. The need for an intrapericardial pneumonectomy, either established preoperatively or during the operation, as a single factor, even for marginal surgical candidates, is not strong enough to reject these patients for surgery.

摘要

背景

与标准肺切除术相比,心包内肺切除术是否意味着疾病处于更晚期仍不清楚。

方法

这是一项对164例行肺癌肺切除术患者的回顾性研究。第一组由82例行标准肺切除术的患者组成,第二组是38例在最近5年内行心包内肺切除术的患者。第三组是44例在最近10年内行袖状肺叶切除术的患者。对三组患者的总生存率、分期相关生存率、T和N因素的影响、手术并发症和死亡率进行比较。所采用的统计方法为Kaplan-Meier法、U检验、t检验、χ2检验。

结果

标准肺切除术和心包内肺切除术之间的分期分布无统计学显著差异;I期、II期、IIIA期和IIIB期患者分别占10.9%对2.6%、30.5%对26.3%、46.4%对65.8%和12.2%对5.3%。对于行袖状肺叶切除术的患者,IIIA期明显更为常见。虽然第一组的总生存率(63.5%对57.6%)和分期相关的5年生存率优于第二组,尤其是IIIA期(58.6%对42.6%),但这些差异无统计学意义。第一组和第二组之间的手术并发症和死亡率无显著差异,但第三组的两者均显著更高(35.7%和15.9%)。

结论

心包内肺切除术并不总是意味着疾病处于更晚期。术前或术中确定的心包内肺切除术需求,作为单一因素,即使对于边缘手术候选者,也不足以强烈到拒绝这些患者进行手术。

https://cdn.ncbi.nlm.nih.gov/pmc/blobs/d084/4244073/f75f5d092dc9/1477-7819-12-248-1.jpg

文献AI研究员

20分钟写一篇综述,助力文献阅读效率提升50倍。

立即体验

用中文搜PubMed

大模型驱动的PubMed中文搜索引擎

马上搜索

文档翻译

学术文献翻译模型,支持多种主流文档格式。

立即体验