• 文献检索
  • 文档翻译
  • 深度研究
  • 学术资讯
  • Suppr Zotero 插件Zotero 插件
  • 邀请有礼
  • 套餐&价格
  • 历史记录
应用&插件
Suppr Zotero 插件Zotero 插件浏览器插件Mac 客户端Windows 客户端微信小程序
定价
高级版会员购买积分包购买API积分包
服务
文献检索文档翻译深度研究API 文档MCP 服务
关于我们
关于 Suppr公司介绍联系我们用户协议隐私条款
关注我们

Suppr 超能文献

核心技术专利:CN118964589B侵权必究
粤ICP备2023148730 号-1Suppr @ 2026

文献检索

告别复杂PubMed语法,用中文像聊天一样搜索,搜遍4000万医学文献。AI智能推荐,让科研检索更轻松。

立即免费搜索

文件翻译

保留排版,准确专业,支持PDF/Word/PPT等文件格式,支持 12+语言互译。

免费翻译文档

深度研究

AI帮你快速写综述,25分钟生成高质量综述,智能提取关键信息,辅助科研写作。

立即免费体验

通过体重指数Z评分或腰高比在多民族六年级学生样本中进行的心血管代谢风险评估。

Cardiometabolic risk assessments by body mass index z-score or waist-to-height ratio in a multiethnic sample of sixth-graders.

作者信息

Kahn Henry S, El ghormli Laure, Jago Russell, Foster Gary D, McMurray Robert G, Buse John B, Stadler Diane D, Treviño Roberto P, Baranowski Tom

机构信息

Division of Diabetes Translation, Centers for Disease Control & Prevention, CDC Mail Stop F-73, 4770 Buford Highway, Atlanta, GA 30341, USA.

The Biostatistics Center, George Washington University, Rockville, MD 20852, USA.

出版信息

J Obes. 2014;2014:421658. doi: 10.1155/2014/421658. Epub 2014 Jul 14.

DOI:10.1155/2014/421658
PMID:25132986
原文链接:https://pmc.ncbi.nlm.nih.gov/articles/PMC4123559/
Abstract

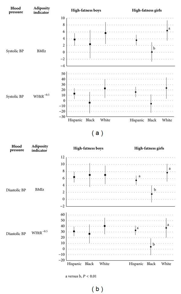
Convention defines pediatric adiposity by the body mass index z-score (BMIz) referenced to normative growth charts. Waist-to-height ratio (WHtR) does not depend on sex-and-age references. In the HEALTHY Study enrollment sample, we compared BMIz with WHtR for ability to identify adverse cardiometabolic risk. Among 5,482 sixth-grade students from 42 middle schools, we estimated explanatory variations (R (2)) and standardized beta coefficients of BMIz or WHtR for cardiometabolic risk factors: insulin resistance (HOMA-IR), lipids, blood pressures, and glucose. For each risk outcome variable, we prepared adjusted regression models for four subpopulations stratified by sex and high versus lower fatness. For HOMA-IR, R (2) attributed to BMIz or WHtR was 19%-28% among high-fatness and 8%-13% among lower-fatness students. R (2) for lipid variables was 4%-9% among high-fatness and 2%-7% among lower-fatness students. In the lower-fatness subpopulations, the standardized coefficients for total cholesterol/HDL cholesterol and triglycerides tended to be weaker for BMIz (0.13-0.20) than for WHtR (0.17-0.28). Among high-fatness students, BMIz and WHtR correlated with blood pressures for Hispanics and whites, but not black boys (systolic) or girls (systolic and diastolic). In 11-12 year olds, assessments by WHtR can provide cardiometabolic risk estimates similar to conventional BMIz without requiring reference to a normative growth chart.

摘要

传统上通过参照标准生长图表的体重指数z评分(BMIz)来定义儿童肥胖。腰高比(WHtR)不依赖于性别和年龄参考标准。在“健康研究”的入组样本中,我们比较了BMIz和WHtR识别不良心脏代谢风险的能力。在来自42所中学的5482名六年级学生中,我们估计了BMIz或WHtR对心脏代谢风险因素(胰岛素抵抗(HOMA-IR)、血脂、血压和血糖)的解释变异(R²)和标准化β系数。对于每个风险结果变量,我们针对按性别和高肥胖与低肥胖分层的四个亚组准备了调整回归模型。对于HOMA-IR,在高肥胖学生中,归因于BMIz或WHtR的R²为19%-28%,在低肥胖学生中为8%-13%。对于血脂变量,在高肥胖学生中R²为4%-9%,在低肥胖学生中为2%-7%。在低肥胖亚组中,BMIz对总胆固醇/高密度脂蛋白胆固醇和甘油三酯的标准化系数(0.13-0.20)往往比WHtR(0.17-0.28)弱。在高肥胖学生中,BMIz和WHtR与西班牙裔和白人的血压相关,但与黑人男孩(收缩压)或女孩(收缩压和舒张压)无关。在11-12岁的儿童中,通过WHtR进行评估可以提供与传统BMIz类似的心脏代谢风险估计,而无需参照标准生长图表。

https://cdn.ncbi.nlm.nih.gov/pmc/blobs/5d05/4123559/51827bf2a06f/JOBE2014-421658.001.jpg
https://cdn.ncbi.nlm.nih.gov/pmc/blobs/5d05/4123559/51827bf2a06f/JOBE2014-421658.001.jpg
https://cdn.ncbi.nlm.nih.gov/pmc/blobs/5d05/4123559/51827bf2a06f/JOBE2014-421658.001.jpg

相似文献

1
Cardiometabolic risk assessments by body mass index z-score or waist-to-height ratio in a multiethnic sample of sixth-graders.通过体重指数Z评分或腰高比在多民族六年级学生样本中进行的心血管代谢风险评估。
J Obes. 2014;2014:421658. doi: 10.1155/2014/421658. Epub 2014 Jul 14.
2
Waist-to-height ratio, waist circumference and BMI as indicators of percentage fat mass and cardiometabolic risk factors in children aged 3-7 years.腰围身高比、腰围和体重指数作为3至7岁儿童体脂百分比和心血管代谢危险因素的指标。
Clin Nutr. 2014 Apr;33(2):311-5. doi: 10.1016/j.clnu.2013.05.010. Epub 2013 May 23.
3
Neck circumference: a useful screening tool of cardiovascular risk in children.颈围:儿童心血管风险的一种有用筛查工具。
Pediatr Obes. 2012 Jun;7(3):187-95. doi: 10.1111/j.2047-6310.2012.00052.x. Epub 2012 Apr 13.
4
Use of the waist-height ratio to predict metabolic syndrome in obese children and adolescents.利用腰高比预测肥胖儿童和青少年的代谢综合征。
J Paediatr Child Health. 2013 Apr;49(4):E281-7. doi: 10.1111/jpc.12147. Epub 2013 Mar 25.
5
Waist-to-height ratio associated cardiometabolic risk phenotype in children with overweight/obesity.儿童超重/肥胖与腰高比相关的代谢综合征表型。
BMC Public Health. 2023 Aug 15;23(1):1549. doi: 10.1186/s12889-023-16418-9.
6
A Comparison between BMI, Waist Circumference, and Waist-To-Height Ratio for Identifying Cardio-Metabolic Risk in Children and Adolescents.比较BMI、腰围和腰高比在识别儿童和青少年心血管代谢风险中的作用
PLoS One. 2016 Feb 22;11(2):e0149351. doi: 10.1371/journal.pone.0149351. eCollection 2016.
7
Fatness, fitness, and cardiometabolic risk factors among sixth-grade youth.六年级青少年的肥胖、健康和心血管代谢危险因素。
Med Sci Sports Exerc. 2010 Aug;42(8):1502-10. doi: 10.1249/MSS.0b013e3181d322c4.
8
Adding anthropometric measures of regional adiposity to BMI improves prediction of cardiometabolic, inflammatory and adipokines profiles in youths: a cross-sectional study.将区域肥胖的人体测量指标添加到体重指数中可改善对青少年心脏代谢、炎症和脂肪因子谱的预测:一项横断面研究。
BMC Pediatr. 2015 Oct 24;15:168. doi: 10.1186/s12887-015-0486-5.
9
Associations of cardiometabolic outcomes with indices of obesity in children aged 5 years and younger.5 岁及以下儿童肥胖指标与心脏代谢结局的相关性。
PLoS One. 2019 Jul 5;14(7):e0218816. doi: 10.1371/journal.pone.0218816. eCollection 2019.
10
Utility of Body Mass Index, Waist-to-Height-Ratio and cardiorespiratory fitness thresholds for identifying cardiometabolic risk in 10.4-17.6-year-old children.体质指数、腰高比和心肺适能阈值在识别 10.4-17.6 岁儿童心血管代谢风险中的应用。
Obes Res Clin Pract. 2017 Sep-Oct;11(5):567-575. doi: 10.1016/j.orcp.2017.01.001. Epub 2017 Jan 12.

引用本文的文献

1
Effects of a High Intensity Interval Training (HIIT) Program on Anthropomorphic and Cardiometabolic Variables in School Children with Overweight and Obesity.高强度间歇训练(HIIT)计划对超重和肥胖学童人体形态及心脏代谢变量的影响。
Children (Basel). 2023 Feb 7;10(2):317. doi: 10.3390/children10020317.
2
Independent and combined influences of physical activity, screen time, and sleep quality on adiposity indicators in Indian adolescents.独立和综合的影响体力活动、屏幕时间和睡眠质量对印度青少年肥胖指标的影响。
BMC Public Health. 2021 Nov 15;21(1):2093. doi: 10.1186/s12889-021-12183-9.
3
School-based physical activity programs for promoting physical activity and fitness in children and adolescents aged 6 to 18.

本文引用的文献

1
Plea for simplicity: use of waist-to-height ratio as a primary screening tool to assess cardiometabolic risk.呼吁简化:使用腰高比作为评估心血管代谢风险的主要筛查工具。
Clin Obes. 2012 Feb;2(1-2):3-5. doi: 10.1111/j.1758-8111.2012.00037.x. Epub 2012 Mar 28.
2
BMI and cardiovascular function in children and adolescents of Mauritius Island.毛里求斯岛儿童及青少年的体重指数与心血管功能
J Nutr Sci. 2013 Jan 16;2:e3. doi: 10.1017/jns.2012.26. eCollection 2013.
3
A self-report measure of pubertal status: Reliability, validity, and initial norms.
以学校为基础的身体活动计划促进 6 至 18 岁儿童和青少年身体活动和健康。
Cochrane Database Syst Rev. 2021 Sep 23;9(9):CD007651. doi: 10.1002/14651858.CD007651.pub3.
4
Cardiometabolic Risk Factors and Physical Activity Patterns Maximizing Fitness and Minimizing Fatness Variation in Malaysian Adolescents: A Novel Application of Reduced Rank Regression.心血管代谢风险因素与体力活动模式——最大化马来西亚青少年的健康体适能和最小化体脂肪变异性:降秩回归的新应用。
Int J Environ Res Public Health. 2019 Nov 22;16(23):4662. doi: 10.3390/ijerph16234662.
5
Anthropometric features as predictors of atherogenic dyslipidemia and cardiovascular risk in a large population of school-aged children.人体测量特征可预测学龄儿童群体的动脉粥样硬化性血脂异常和心血管风险。
PLoS One. 2018 Jun 1;13(6):e0197922. doi: 10.1371/journal.pone.0197922. eCollection 2018.
6
Comparing Two Waist-to-Height Ratio Measurements with Cardiometabolic Risk Factors among Youth with Diabetes.比较糖尿病青少年中两种腰高比测量值与心血管代谢危险因素的关系。
Int J Child Health Nutr. 2016;5(3):87-94.
7
A Comparison between BMI, Waist Circumference, and Waist-To-Height Ratio for Identifying Cardio-Metabolic Risk in Children and Adolescents.比较BMI、腰围和腰高比在识别儿童和青少年心血管代谢风险中的作用
PLoS One. 2016 Feb 22;11(2):e0149351. doi: 10.1371/journal.pone.0149351. eCollection 2016.
8
Insulin signaling genes modulate nicotine-induced behavioral responses in Caenorhabditis elegans.胰岛素信号基因调节秀丽隐杆线虫中尼古丁诱导的行为反应。
Behav Pharmacol. 2016 Feb;27(1):44-9. doi: 10.1097/FBP.0000000000000186.
一种青春期发育状况的自我报告测量方法:信度、效度和初步常模。
J Youth Adolesc. 1988 Apr;17(2):117-33. doi: 10.1007/BF01537962.
4
Waist-to-height ratio and cardiometabolic risk factors in adolescence: findings from a prospective birth cohort.青少年的腰高比与心血管代谢危险因素:一项前瞻性出生队列研究的结果
Pediatr Obes. 2014 Oct;9(5):327-38. doi: 10.1111/j.2047-6310.2013.00192.x. Epub 2013 Jul 25.
5
Treatment effects on measures of body composition in the TODAY clinical trial.在 TODAY 临床试验中,治疗效果对身体成分测量指标的影响。
Diabetes Care. 2013 Jun;36(6):1742-8. doi: 10.2337/dc12-2534.
6
Cardiometabolic risk factors among US adolescents and young adults and risk of early mortality.美国青少年和年轻人的心血管代谢危险因素与早逝风险。
Pediatrics. 2013 Mar;131(3):e679-86. doi: 10.1542/peds.2012-2583. Epub 2013 Feb 18.
7
Measurement of Waist Circumference: midabdominal or iliac crest?腰围测量:中腹部还是髂嵴?
Diabetes Care. 2013 Jun;36(6):1660-6. doi: 10.2337/dc12-1452. Epub 2012 Dec 28.
8
Comparison of two waist circumference measurement protocols: the SEARCH for diabetes in youth study.两种腰围测量方案的比较:青少年糖尿病SEARCH研究
Pediatr Obes. 2012 Dec;7(6):e81-5. doi: 10.1111/j.2047-6310.2012.00088.x. Epub 2012 Sep 19.
9
Evaluation of general practitioners' assessment of overweight among children attending the five-year preventive child health examination: a cross-sectional survey.评价参加五岁预防保健儿童健康检查的儿童的全科医生超重评估:一项横断面调查。
Scand J Prim Health Care. 2012 Sep;30(3):176-82. doi: 10.3109/02813432.2012.704811.
10
No use for waist-for-height ratio in addition to body mass index to identify children with elevated blood pressure.除体重指数外,腰高比在识别血压升高儿童方面并无用处。
Blood Press. 2013 Feb;22(1):17-20. doi: 10.3109/08037051.2012.701376. Epub 2012 Jul 23.