Suppr超能文献

预溶剂化电子与乙酰乙酸甲酯的反应:电子定位、质子-氘核交换和氢原子提取。

Presolvated electron reactions with methyl acetoacetate: electron localization, proton-deuteron exchange, and H-atom abstraction.

作者信息

Petrovici Alex, Adhikary Amitava, Kumar Anil, Sevilla Michael D

机构信息

Department of Chemistry, Oakland University, Rochester, MI 48309, USA.

出版信息

Molecules. 2014 Sep 1;19(9):13486-97. doi: 10.3390/molecules190913486.

Abstract

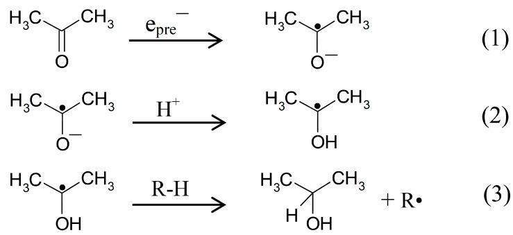
Radiation-produced electrons initiate various reaction processes that are important to radiation damage to biomolecules. In this work, the site of attachment of the prehydrated electrons with methyl acetoacetate (MAA, CH3-CO-CH2-COOCH3) at 77 K and subsequent reactions of the anion radical (CH3-CO•--CH2-COOCH3) in the 77 to ca. 170 K temperature range have been investigated in homogeneous H2O and D2O aqueous glasses by electron spin resonance (ESR) spectroscopy. At 77 K, the prehydrated electron attaches to MAA forming the anion radical in which the electron is delocalized over the two carbonyl groups. This species readily protonates to produce the protonated electron adduct radical CH3-C(•)OH-CH2-COOCH3. The ESR spectrum of CH3-C(•)OH-CH2-COOCH3 in H2O shows line components due to proton hyperfine couplings of the methyl and methylene groups. Whereas, the ESR spectrum of CH3-C(•)OH-CH2-COOCH3 in D2O glass shows only the line components due to proton hyperfine couplings of CH3 group. This is expected since the methylene protons in MAA are readily exchangeable in D2O. On stepwise annealing to higher temperatures (ca. 150 to 170 K), CH3-C(•)OH-CH2-COOCH3 undergoes bimolecular H-atom abstraction from MAA to form the more stable radical, CH3-CO-CH•-COOCH3. Theoretical calculations using density functional theory (DFT) support the radical assignments.

摘要

辐射产生的电子引发了各种对生物分子辐射损伤至关重要的反应过程。在这项工作中,通过电子自旋共振(ESR)光谱研究了在77K下预水合电子与乙酰乙酸甲酯(MAA,CH3-CO-CH2-COOCH3)的附着位点以及在77至约170K温度范围内阴离子自由基(CH3-CO•--CH2-COOCH3)的后续反应。在77K时,预水合电子附着到MAA上形成阴离子自由基,其中电子在两个羰基上离域。该物种容易质子化生成质子化电子加合物自由基CH3-C(•)OH-CH2-COOCH3。CH3-C(•)OH-CH2-COOCH3在H2O中的ESR光谱显示出由于甲基和亚甲基的质子超精细耦合产生的谱线成分。而CH3-C(•)OH-CH2-COOCH3在D2O玻璃中的ESR光谱仅显示出由于CH3基团的质子超精细耦合产生的谱线成分。这是预期的,因为MAA中的亚甲基质子在D2O中很容易交换。逐步升温至更高温度(约150至170K)时,CH3-C(•)OH-CH2-COOCH3与MAA发生双分子氢原子夺取反应,形成更稳定的自由基CH3-CO-CH•-COOCH3。使用密度泛函理论(DFT)的理论计算支持了自由基的归属。

https://cdn.ncbi.nlm.nih.gov/pmc/blobs/a70a/6271829/ca7205e685b3/molecules-19-13486-g004.jpg

文献检索

告别复杂PubMed语法,用中文像聊天一样搜索,搜遍4000万医学文献。AI智能推荐,让科研检索更轻松。

立即免费搜索

文件翻译

保留排版,准确专业,支持PDF/Word/PPT等文件格式,支持 12+语言互译。

免费翻译文档

深度研究

AI帮你快速写综述,25分钟生成高质量综述,智能提取关键信息,辅助科研写作。

立即免费体验