• 文献检索
  • 文档翻译
  • 深度研究
  • 学术资讯
  • Suppr Zotero 插件Zotero 插件
  • 邀请有礼
  • 套餐&价格
  • 历史记录
应用&插件
Suppr Zotero 插件Zotero 插件浏览器插件Mac 客户端Windows 客户端微信小程序
定价
高级版会员购买积分包购买API积分包
服务
文献检索文档翻译深度研究API 文档MCP 服务
关于我们
关于 Suppr公司介绍联系我们用户协议隐私条款
关注我们

Suppr 超能文献

核心技术专利:CN118964589B侵权必究
粤ICP备2023148730 号-1Suppr @ 2026

文献检索

告别复杂PubMed语法,用中文像聊天一样搜索,搜遍4000万医学文献。AI智能推荐,让科研检索更轻松。

立即免费搜索

文件翻译

保留排版,准确专业,支持PDF/Word/PPT等文件格式,支持 12+语言互译。

免费翻译文档

深度研究

AI帮你快速写综述,25分钟生成高质量综述,智能提取关键信息,辅助科研写作。

立即免费体验

通过 Al 和 Mg 掺入调整 HZSM-5 纳米粒子的酸度以进行甲基溴化物脱溴。

Tailoring acidity of HZSM-5 nanoparticles for methyl bromide dehydrobromination by Al and Mg incorporation.

机构信息

State Key Laboratory of Heavy Oil Processing; Key Laboratory of Catalysis, CNPC, China University of Petroleum, Qingdao 266580, People's Republic of China ; Department of Chemical Engineering, Hunan University, Changsha 410082, People's Republic of China.

State Key Laboratory of Heavy Oil Processing; Key Laboratory of Catalysis, CNPC, China University of Petroleum, Qingdao 266580, People's Republic of China ; Lanzhou Petrochemical Research Center, Petrochemical Research Institute, PetroChina Company Limited, Lanzhou 730060, People's Republic of China.

出版信息

Nanoscale Res Lett. 2014 Oct 3;9(1):550. doi: 10.1186/1556-276X-9-550. eCollection 2014.

DOI:10.1186/1556-276X-9-550
PMID:25328502
原文链接:https://pmc.ncbi.nlm.nih.gov/articles/PMC4199779/
Abstract

Three kinds of HZSM-5 nanoparticles with different acidity were tailored by impregnating MgO or varying Si/Al ratios. Both the textural and acidic properties of the as-prepared nanoparticles were characterized by nitrogen adsorption-desorption measurements, X-ray diffraction (XRD), scanning electron microscopy (SEM), ammonia temperature-programmed desorption (NH3-TPD) and Fourier transform infrared spectroscopy (FTIR or Py-FTIR). It was found that the intensity of Lewis acid sites with weak strength was enhanced by impregnating MgO or reducing Al concentration, and such an enhancement could be explained by the formation of Mg(OH)(+) or charge unbalance of the MgO framework on the surface of HZSM-5 support. The effect of HZSM-5 nanoparticles' acidity on methyl bromide dehydrobromination as catalyst was evaluated. As the results, MgHZ-360 catalyst with the highest concentration of Lewis acid sites showed excellent stability, which maintained methyl bromide conversion of up 97% in a period of 400 h on stream. Coke characterization by BET measurements and TGA/DTA and GC/MS analysis revealed that polymethylated naphthalenes species were formed outside the channels of the catalyst with higher acid intensity and higher Brønsted acid concentration during the initial period of reaction, while graphitic carbon formed in the channels of catalyst with lower acid intensity and higher Lewis acid concentration during the stable stage.

摘要

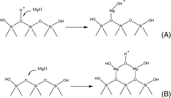
三种具有不同酸度的 HZSM-5 纳米粒子通过浸渍 MgO 或改变 Si/Al 比来进行调变。通过氮气吸附-脱附测量、X 射线衍射 (XRD)、扫描电子显微镜 (SEM)、氨程序升温脱附 (NH3-TPD) 和傅里叶变换红外光谱 (FTIR 或 Py-FTIR) 对所制备的纳米粒子的结构和酸性进行了表征。结果发现,通过浸渍 MgO 或降低 Al 浓度,可以增强具有较弱强度的 Lewis 酸位的强度,这种增强可以通过 HZSM-5 载体表面上形成的 Mg(OH)(+)或 MgO 骨架的电荷不平衡来解释。评估了 HZSM-5 纳米粒子的酸度对甲基溴化物脱氢溴化作为催化剂的影响。结果表明,Lewis 酸位浓度最高的 MgHZ-360 催化剂表现出优异的稳定性,在 400 小时的连续运行期间,保持了高达 97%的甲基溴化物转化率。通过 BET 测量、TGA/DTA 和 GC/MS 分析对积碳进行了表征,结果表明,在反应初期,具有较高酸强度和较高 Brønsted 酸浓度的催化剂通道外形成了多甲基萘类物质,而在稳定阶段,具有较低酸强度和较高 Lewis 酸浓度的催化剂通道内形成了石墨碳。

https://cdn.ncbi.nlm.nih.gov/pmc/blobs/3895/4199779/490d68756407/1556-276X-9-550-11.jpg
https://cdn.ncbi.nlm.nih.gov/pmc/blobs/3895/4199779/4433acc2c4ca/1556-276X-9-550-1.jpg
https://cdn.ncbi.nlm.nih.gov/pmc/blobs/3895/4199779/eff1339a9a28/1556-276X-9-550-2.jpg
https://cdn.ncbi.nlm.nih.gov/pmc/blobs/3895/4199779/e4d8a291d586/1556-276X-9-550-3.jpg
https://cdn.ncbi.nlm.nih.gov/pmc/blobs/3895/4199779/fd901df3cd88/1556-276X-9-550-4.jpg
https://cdn.ncbi.nlm.nih.gov/pmc/blobs/3895/4199779/6c654ceb34d4/1556-276X-9-550-5.jpg
https://cdn.ncbi.nlm.nih.gov/pmc/blobs/3895/4199779/9d4c5f40d146/1556-276X-9-550-6.jpg
https://cdn.ncbi.nlm.nih.gov/pmc/blobs/3895/4199779/7ef5551a7504/1556-276X-9-550-7.jpg
https://cdn.ncbi.nlm.nih.gov/pmc/blobs/3895/4199779/b9960f12cd39/1556-276X-9-550-8.jpg
https://cdn.ncbi.nlm.nih.gov/pmc/blobs/3895/4199779/610d5b2194ce/1556-276X-9-550-9.jpg
https://cdn.ncbi.nlm.nih.gov/pmc/blobs/3895/4199779/9692b7439e2d/1556-276X-9-550-10.jpg
https://cdn.ncbi.nlm.nih.gov/pmc/blobs/3895/4199779/490d68756407/1556-276X-9-550-11.jpg
https://cdn.ncbi.nlm.nih.gov/pmc/blobs/3895/4199779/4433acc2c4ca/1556-276X-9-550-1.jpg
https://cdn.ncbi.nlm.nih.gov/pmc/blobs/3895/4199779/eff1339a9a28/1556-276X-9-550-2.jpg
https://cdn.ncbi.nlm.nih.gov/pmc/blobs/3895/4199779/e4d8a291d586/1556-276X-9-550-3.jpg
https://cdn.ncbi.nlm.nih.gov/pmc/blobs/3895/4199779/fd901df3cd88/1556-276X-9-550-4.jpg
https://cdn.ncbi.nlm.nih.gov/pmc/blobs/3895/4199779/6c654ceb34d4/1556-276X-9-550-5.jpg
https://cdn.ncbi.nlm.nih.gov/pmc/blobs/3895/4199779/9d4c5f40d146/1556-276X-9-550-6.jpg
https://cdn.ncbi.nlm.nih.gov/pmc/blobs/3895/4199779/7ef5551a7504/1556-276X-9-550-7.jpg
https://cdn.ncbi.nlm.nih.gov/pmc/blobs/3895/4199779/b9960f12cd39/1556-276X-9-550-8.jpg
https://cdn.ncbi.nlm.nih.gov/pmc/blobs/3895/4199779/610d5b2194ce/1556-276X-9-550-9.jpg
https://cdn.ncbi.nlm.nih.gov/pmc/blobs/3895/4199779/9692b7439e2d/1556-276X-9-550-10.jpg
https://cdn.ncbi.nlm.nih.gov/pmc/blobs/3895/4199779/490d68756407/1556-276X-9-550-11.jpg

相似文献

1
Tailoring acidity of HZSM-5 nanoparticles for methyl bromide dehydrobromination by Al and Mg incorporation.通过 Al 和 Mg 掺入调整 HZSM-5 纳米粒子的酸度以进行甲基溴化物脱溴。
Nanoscale Res Lett. 2014 Oct 3;9(1):550. doi: 10.1186/1556-276X-9-550. eCollection 2014.
2
Efficient Conversion of Lignin to Aromatics via Catalytic Fast Pyrolysis over Niobium-Doped HZSM-5.通过在掺铌 HZSM-5 上催化快速热解高效转化木质素为芳烃。
Molecules. 2023 May 22;28(10):4245. doi: 10.3390/molecules28104245.
3
Synthesis, characterization and -hexane hydroisomerization performances of Pt supported on alkali treated ZSM-22 and ZSM-48.负载于碱处理ZSM-22和ZSM-48上的铂的合成、表征及己烷加氢异构化性能
RSC Adv. 2018 Aug 14;8(51):28909-28917. doi: 10.1039/c8ra04858d.
4
High-Impact Promotional Effect of Mo Impregnation on Aluminum-Rich and Alkali-Treated Hierarchical Zeolite Catalysts on Methanol Aromatization.钼浸渍对富铝和碱处理的分级沸石催化剂在甲醇芳构化反应中的高影响促进作用。
ACS Omega. 2020 May 19;5(21):11971-11986. doi: 10.1021/acsomega.9b04407. eCollection 2020 Jun 2.
5
Methanol promoted naphtha catalytic pyrolysis to light olefins on Zn-modified high-silicon HZSM-5 zeolite catalysts.甲醇在锌改性的高硅HZSM-5沸石催化剂上促进石脑油催化热解制轻质烯烃。
RSC Adv. 2019 Jul 3;9(36):20818-20828. doi: 10.1039/c9ra02793a. eCollection 2019 Jul 1.
6
Preparation, characterization and application of nanosized CuO/HZSM-5 as an efficient and heterogeneous catalyst for the N-formylation of amines at room temperature.纳米 CuO/HZSM-5 的制备、表征及作为室温下胺 N-甲酰化反应高效多相催化剂的应用。
J Colloid Interface Sci. 2016 Jun 1;471:37-47. doi: 10.1016/j.jcis.2016.02.062. Epub 2016 Mar 3.
7
Influence of Brønsted and Lewis acidity of the modified Al-MCM-41 solid acid on cellulose conversion and 5-hydroxylmethylfurfuran selectivity.改性 Al-MCM-41 固体酸的 Brønsted 和 Lewis 酸对纤维素转化率和 5-羟甲基糠醛选择性的影响。
Chemosphere. 2021 Feb;265:129062. doi: 10.1016/j.chemosphere.2020.129062. Epub 2020 Nov 23.
8
Unraveling the Structure-Activity-Stability Relationship over Gallium-Promoted HZSM-5 Nanocrystalline Aggregates for Propane Aromatization.揭示镓促进的HZSM-5纳米晶聚集体上丙烷芳构化的结构-活性-稳定性关系
Langmuir. 2024 Jun 11;40(23):11998-12008. doi: 10.1021/acs.langmuir.4c00544. Epub 2024 May 30.
9
Effect of alkali-treated HZSM-5 zeolite on the production of aromatic hydrocarbons from microwave assisted catalytic fast pyrolysis (MACFP) of rice husk.碱处理的 HZSM-5 沸石对微波辅助催化快速热解(MACFP)稻壳制备芳烃的影响。
Sci Total Environ. 2020 Feb 10;703:134605. doi: 10.1016/j.scitotenv.2019.134605. Epub 2019 Nov 5.
10
Optimization and Characterization of Mesoporous Sulfonated Carbon Catalyst and Its Application in Modeling and Optimization of Acetin Production.介孔磺酸化碳催化剂的优化与表征及其在醋酸生产模拟与优化中的应用。
Molecules. 2020 Nov 10;25(22):5221. doi: 10.3390/molecules25225221.

引用本文的文献

1
An efficient green protocol for the synthesis of 1,2,4,5-tetrasubstituted imidazoles in the presence of ZSM-11 zeolite as a reusable catalyst.一种在ZSM-11沸石作为可重复使用催化剂存在下合成1,2,4,5-四取代咪唑的高效绿色方法。
RSC Adv. 2022 Feb 2;12(7):4358-4369. doi: 10.1039/d1ra07984k. eCollection 2022 Jan 28.

本文引用的文献

1
Chemistry. Unconventional chemistry for unconventional natural gas.化学。非常规天然气的非常规化学。
Science. 2012 Oct 19;338(6105):340-2. doi: 10.1126/science.1226840.
2
Oxidative methane upgrading.氧化甲烷升级。
ChemSusChem. 2012 Sep;5(9):1668-86. doi: 10.1002/cssc.201200299. Epub 2012 Jul 29.
3
Conversion of methanol to hydrocarbons: how zeolite cavity and pore size controls product selectivity.甲醇转化为烃类:沸石孔腔和孔径如何控制产物选择性。
Angew Chem Int Ed Engl. 2012 Jun 11;51(24):5810-31. doi: 10.1002/anie.201103657. Epub 2012 Apr 18.
4
Transformation of methane to propylene: a two-step reaction route catalyzed by modified CeO2 nanocrystals and zeolites.甲烷转化为丙烯:由改性CeO₂纳米晶体和沸石催化的两步反应路线
Angew Chem Int Ed Engl. 2012 Mar 5;51(10):2438-42. doi: 10.1002/anie.201104071. Epub 2012 Jan 24.
5
Ultra-short contact time conversion of chloromethane to olefins over pre-coked SAPO-34: direct insight into the primary conversion with coke deposition.在预积碳 SAPO-34 上实现氯甲烷到烯烃的超短接触时间转化:焦炭沉积下的初步转化的直接观察。
Chem Commun (Camb). 2009 Oct 28(40):5999-6001. doi: 10.1039/b909218h. Epub 2009 Sep 18.