Suppr超能文献

规范信念与行为在青少年身体和关系攻击发展模式中的相互作用:一项四波纵向研究。

Interplay of normative beliefs and behavior in developmental patterns of physical and relational aggression in adolescence: a four-wave longitudinal study.

机构信息

Department of Psychology, University of Potsdam Potsdam, Germany.

出版信息

Front Psychol. 2014 Oct 15;5:1146. doi: 10.3389/fpsyg.2014.01146. eCollection 2014.

Abstract

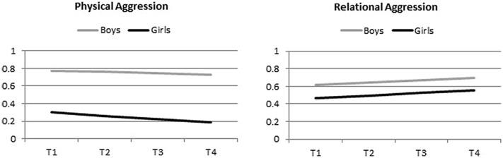
In a longitudinal study with N = 1,854 adolescents from Germany, we investigated patterns of change and gender differences in physical and relational aggression in relation to normative beliefs about these two forms of aggression. Participants, whose mean age was 13 years at T1, completed self-report measures of physically and relationally aggressive behavior and indicated their normative approval of both forms of aggression at four data waves separated by 12-month intervals. Boys scored higher than did girls on both forms of aggression, but the gender difference was more pronounced for physical aggression. Physical aggression decreased and relational aggression increased over the four data waves in both gender groups. The normative acceptance of both forms of aggression decreased over time, with a greater decrease for the approval of physical aggression. In both gender groups, normative approval of relational aggression prospectively predicted relational aggression across all data waves, and the normative approval of physical aggression predicted physically aggressive behavior at the second and third data waves. A reciprocal reinforcement of aggressive norms and behavior was found for both forms of aggression. The findings are discussed as supporting a social information processing perspective on developmental patterns of change in physical and relational aggression in adolescence.

摘要

在一项针对 1854 名德国青少年的纵向研究中,我们调查了与这两种形式的攻击相关的规范信念在身体和关系攻击中的变化模式和性别差异。参与者在 T1 的平均年龄为 13 岁,他们在四个数据波次中完成了身体和关系攻击行为的自我报告测量,并在 12 个月的间隔时间内对这两种形式的攻击表示了他们的规范认可。男孩在两种形式的攻击中得分均高于女孩,但身体攻击的性别差异更为明显。在两个性别群体中,身体攻击和关系攻击都随着四个数据波次的推移而减少和增加。两种形式的攻击的规范接受度随着时间的推移而下降,对身体攻击的认可下降幅度更大。在两个性别群体中,对关系攻击的规范认可都前瞻性地预测了所有数据波次的关系攻击,对身体攻击的规范认可预测了第二和第三数据波次的身体攻击行为。发现身体和关系攻击的规范和行为都存在相互强化。这些发现支持了社会信息处理视角对青少年身体和关系攻击发展变化模式的解释。

https://cdn.ncbi.nlm.nih.gov/pmc/blobs/09ec/4197713/5d40a5a8a2a9/fpsyg-05-01146-g001.jpg

文献AI研究员

20分钟写一篇综述,助力文献阅读效率提升50倍。

立即体验

用中文搜PubMed

大模型驱动的PubMed中文搜索引擎

马上搜索

文档翻译

学术文献翻译模型,支持多种主流文档格式。

立即体验